haproxy,nginx,keepalived综合运用

304 阅读18分钟

目录

一、haproxy 介绍

1.定义

2.作用

二、常见的Web集群调度器

三、haproxy集群应用

1.haproxy的特性

2.负载均衡策略与调度算法

3.nginx和LVS和Haproxy的区别

(1)LVS

(2)nginx

(3)haproxy

四、haproxy+nginx

haproxy搭建web集群

1.环境准备

(1)关闭防火墙

(2)安装依赖包

2.编译安装haproxy 

3.修改配置文件

4.添加haproxy 系统服务 

5. nginx服务器

(1)安装ngi

 (2)配置本地源安装nginx

(3)配置页面 

 6.httpd服务器

(1)关闭防火墙

(2)安装httpd

(3)配置页面

7. haproxy 服务器验证 

五、haproxy集群日志重新定义 

1.正常访问节点日志

2.断开节点访问日志

六、haproxy+keepalived+nginx 

1.配置主服务器(haproxy+keepalived)

(1)keepalived服务

(2)修改配置文件 

2.配置备用服务器(haproxy+keepalived)

(1)准备环境:关闭防火墙

(2)keepalived服务

 (3)修改配置文件

(4)haproxy服务

(5)nginx服务

(6)httpd服务 

3.用haproxy服务验证 

(1)主服务器

(2)备用服务器


一、haproxy 介绍

1.定义

        haproxy 是一款提供高可用性、负载均衡以及基于TCP(第四层)和HTTP(第七层)应用的代理软件,支持虚拟主机,它是免费、快速并且可靠的一种解决方案。

2.作用

        haproxy特别适用于那些负载特大的web站点,这些站点通常又需要会话保持或七层处理。haproxy运行在时下的硬件上,完全可以支持数以万计的 并发连接。并且它的运行模式使得它可以很简单安全的整合进您当前的架构中, 同时可以保护你的web服务器不被暴露到网络上。

二、常见的Web集群调度器

Web集群调度器分为软件和硬件:
(1)软件通常使用开源的LVS、haproxy、Nginx。

(2)硬件一般有F5、绿盟和深信服等。

(3)LVS性能最好,但是搭建相对复杂;Nginx的upstream模块支持集群功能,但是对集群节点健康检查功能不强,高并发没有Haproxy好。

(4)硬件一般使用的比较多的是F5。

三、haproxy集群应用

LVS在企业中抗负载能力很强,但存在不足:

(1)LVS不支持正则处理,不能实现动静分离。
(2)对于大型网站LVS的事实配置较为复杂,维护成本相对较高。
(3)haproxy是一款可以供高可用性、负载均衡和基于TCP和HTTP应用的代理软件。

(4)适用于负载较大的Web站点。
(5)运行在硬件上可支持数以万计的并发连接请求。

1.haproxy的特性

(1)可靠性和稳定性非常好,可以与硬件级的F5负载均衡设备相媲美
(2)最高可以同时维护40000-50000个并发连接,单位时间内处理的最大请求数为20000个,最大处理能力可达10Git/s
(3)支持多达8 种负载均衡算法,同时也支持会话保持
(4)支持虚拟主机功能,从而实现web负载均衡更加灵活
(5)支持连接拒绝、全透明代理等独特功能
(6)拥有强大的ACL支持,用于访问控制
(7)其独特的弹性二叉树数据结构,使数据结构的复杂性上升到了0(1),即数据的查询速度不会随着数据条目的增加而速度有所下降
(8)支持客户端的keepalive功能,减少客户端与haproxy的多次三次握手导致资源浪费,让多个请求在一个tcp连接中完成
(9)支持TCP加速,零复制功能,类似于mmap机制
(10)支持响应池(response buffering)
(11)支持RDP协议
(12)基于源的粘性,类似于nginx的ip_hash功能,把来自同一客户端的请求在一定时间内始终调度到上游的同一服务器
(13)更好统计数据接口,其web接口显示后端冀全中各个服务器的接受、发送、拒绝、错误等数据的统计信息
(14)详细的健康状态检测,web接口中有关对上流服务器的健康检测状态,并提供了一定的管理功能
(15)基于流量的健康评估机制
(16)基于http认证
(17)基于命令行的管理接口
(18)日志分析器,可对日志进行分析

2.负载均衡策略与调度算法

(1)轮询调度(Round Robin)RR:

RR算法是最简单最常用的一种算法,即轮询调度。

(2)权重轮询 static-rr:

对高性能节点提高优先级即提高权重,使高性能节点处理的更多,减轻低性能节点负担。

(3)最小连接数算法 LC(Least Connections):

根据后端的节点连接数大小动态分配前端请求。

(4)基于来源访问调度算法 SH(Source Hashing):

用于一些有Session会话记录在服务端的场景,可以基于哈希算法对来源的IP、Cookie等做集群调度。

此调度算法好处是实现会话保持,但某些IP访问量非常大时会引起负载不均衡,部分节点访问量超大,影响业务使用。

(5)URL:

表示根据请求的URI,做cdn需使用。

(6)url_param:

表示根据HTTP请求头来锁定每 一 次HTTP请求。

(7)rdp—cookie(name):

表示根据据cookie (name)来锁定并哈希每一次TCP请求。

(8)source:

表示根据请求的源IP,类似Nginx的IP hash机制。

(9)static -rr

表示根据权重,轮询分配。

3.nginx和LVS和Haproxy的区别

(1)LVS

1)基于第三方应用实现的软负载均衡。
2)只能实现4层的IP负载均衡技术,状态监测功能单一,但整体负载均衡性能最强。

(2)nginx

1)基于第三方应用实现的软负载均衡。

2)可以实现4层和7层技术。

3)主要用于Web服务器或缓存服务器,nginx的upstrean模块虽然也支持群集功能,但是对群集节点健康检查功能不强,性能没有Haproxy好。

(3)haproxy

1)基于linux操作系统内核实现软负载均衡。
2)可以提供TCP和HTTP应用的负载均衡综合解决方案。
3)在状态监测方面功能更丰富、更强大,可支持端口、URL、脚本等多种状态监测方式。

4)Haproxy支持TCP协议的负载均衡转发。

5)Haproxy支持8种负载均衡器策略。

注意:1.基于系统内核还是第三方应用  2.工作在4层还是七层  3.监测状态。
2.LVS基于操作系统内核实现软负载均衡,nginx和haproxy都是基于第三方应用实现。
3.LVS可实现4层ip负载均衡技术,4层中LVS负载均衡最强,nginx和haproxy都可以实现四层和七层。
4.LVS状态监测功能单一,haproxy状态监测方面功能强大,可支持,端口,URL,脚本状态监测,nginx主要是web服务器或者缓存服务器,虽然也有upstream模块支持集群功能,但是对节点的健康检查不强。

四、haproxy+nginx

haproxy搭建web集群

1.环境准备

haproxy 服务器 192.168.22.128
nginx1  服务器 192.168.22.228
nginx2  服务器 192.168.22.126
客户端   192.168.22.100

(1)关闭防火墙

systemctl stop firewalld
systemctl disable firewalld
setenforce 0

 

(2)安装依赖包

yum -y install pcre-devel zlib-devel gcc gcc-c++ make

 

2.编译安装haproxy 

tar xzvf haproxy-1.5.19.tar.gz  解压安装包

cd haproxy-1.5.19/

make TARGET=linux2628 ARCH=x86_64     进行编译

(TARGET=linux2628 表示内核版本,使用uname -r查看内核,如:2.6.18-371.el5,此时该参数用TARGET=linux26;kernel大于2.6.28的用TARGET=linux2628)
(ARCH=x86_64   系统位数,现在基本都是64位)

make install      安装

uname -r          查看版本

 

3.修改配置文件

mkdir /etc/haproxy/

cp /opt/haproxy-1.5.19/examples/haproxy.cfg /etc/haproxy/

cd /etc/haproxy/

vim haproxy.cfg 

global       全局配置,主要用于定义全局参数,属于进程级的配置,通常和操作系统配置有关
4~5行-修改,配置日志记录,local0为日志设备,默认存放到系统日志
log /dev/log local0 info
log /dev/log local0 notice
log loghost local0 
infomaxconn 4096              最大连接数,需考虑ulimit -n限制
8行-注释,chroot(改变根目录),为该服务自设置的根目录,一般需将此行注释掉
chroot /usr/share/haproxy
uid 99                        用户UID
gid 99                        用户GID
daemon                        守护进程模式
nbproc 1                      添加,设置并发进程数,建议与当前服务器CPU核数相等或为其2倍

defaults                      配置默认参数,这些参数可以被用到Listen,frontend,backend组件
log global                                      引入global定义的日志格式
mode http                                       模式为http(7层代理http,4层代理tcp)
option httplog                                  日志类别为http日志格式
option dontlognull                              不记录健康检查日志信息
retries 3                检查节点服务器失败次数,连续达到三次失败,则认为节点不可用
Redispatch               当服务器负载很高时,自动结束当前队列处理比较久的连接
maxconn 2000             最大连接数,“defaults”中的值不能超过“global”段中的定义
contimeout 5000                                  设置连接超时时间,默认单位是毫秒
clitimeout 50000                                 设置客户端超时时间,默认单位是毫秒
srvtimeout 50000                                 设置服务器超时时间,默认单位是毫秒
     timeout http-request 10s     默认http请求超时时间
     timeout queue 1m             默认队列超时时间
     timeout connect 10s          默认连接超时时间,新版本中替代contimeout,该参数向后兼容
     timeout client 1m            默认客户端超时时间,新版本中替代clitimeout,该参数向后兼容
     timeout server 1m            默认服务器超时时间,新版本中替代srvtimeout,该参数向后兼容
     timeout http-keep-alive 10s  默认持久连接超时时间
     timeout check 10s            设置心跳检查超时时间

删除下面所有listen项,添加
listen  webcluster 0.0.0.0:80     haproxy实例状态监控部分配置,定义一个名为webcluster的应用
        option httpchk GET /index.html     检查服务器的index.html文件 

  此处文件名需要与后面节点服务器页面文件名一致
        balance roundrobin                 负载均衡调度算法使用轮询算法roundrobin
        server inst1 192.168.22.228:80 check inter 2000 fall 3        定义在线节点
        server inst2 192.18.22.126:80 check inter 2000 fall 3

参数说明
balance roundrobin         负载均衡调度算法
#轮询算法:roundrobin;     最小连接数算法:leastconn;来源访问调度算法:source,类似于nginx的ip_hash

check inter 2000            表示启用对此后端服务器执行健康检查,设置健康状态检查的时间间隔,单位为毫秒
fall 3                      表示连续三次检测不到心跳频率则认为该节点失效
若节点配置后带有“backup”表示该节点只是个备份节点,仅在所有在线节点都失效该节点才启用。不携带“backup”,表示为主节点,和其它在线节点共同提供服务。

 

  

4.添加haproxy 系统服务 

cp /opt/haproxy-1.5.19/examples/haproxy.init /etc/init.d/haproxy
chmod +x /etc/init.d/haproxy
chkconfig --add /etc/init.d/haproxy  添加到系统管理中

ln -s /usr/local/sbin/haproxy /usr/sbin/haproxy  

service haproxy start    或    /etc/init.d/haproxy start  //如果ningx服务器未部署会提示找不到web服务器,可以等web部署完后再开启haproxy

   

5. nginx服务器

(1)安装ngi

systemctl stop firewalld
systemctl disable firewalld
setenforce 0

useradd -M -s /sbin/nologin nginx  

yum -y install gcc gcc-c++ pcre-devel zlib-devel make   

tar xzvf nginx-1.15.9.tar.gz 
cd nginx-1.15.9/

./configure \
--prefix=/usr/local/nginx \
--user=nginx \
--group=nginx \
--with-http_stub_status_module

make && make instal    

ln -s /usr/local/nginx/sbin/nginx /usr/local/sbin/    

vim /lib/systemd/system/nginx.service

[Unit]
Description=nginx
After=network.target
[Service]
Type=forking
PIDFile=/usr/local/nginx/logs/nginx.pid
ExecStart=/usr/local/nginx/sbin/nginx
ExecReload=/usr/bin/kill -s HUP $MAINPID
ExecStop=/usr/bin/kill -s QUIT $MAINPID
PrivateTmp=true
[Install]
WantedBy=multi-user.target

chmod 754 /lib/systemd/system/nginx.service  

systemctl start nginx 

netstat -anutp | grep nginx

nginx -t 

 

 (2)配置本地源安装nginx

cd /etc/yum.repos.d/

mkdir repo.bak

mv *.repo repo.bak/

vim nginx.repo

[nginx]
name=nginx.repo
baseurl=https://nginx.org/packages/centos/7/$basearch
enabled=1
gpgcheck=0

yum clean all && yum makecache  

yum -y install nginx

systemctl start nginx  

netstat -ntap| grep nginx  

rpm -ql nginx

 

 

 

(3)配置页面 

 

 6.httpd服务器

(1)关闭防火墙

systemctl stop firewalld
systemctl disable firewalld
setenforce 0

 

(2)安装httpd

yum -y install httpd

systemctl start httpd

 

(3)配置页面

cd /var/www/html/
vim index.html

 

7. haproxy 服务器验证 

service haproxy stop

service haproxy start

重新关闭后再次开启HAproxy服务在进行访问

 

五、haproxy集群日志重新定义 

      默认haproxy的日志是输出到系统的syslog中,查看起来不是非常方便,为了更好的管理haproxy的日志,我们在生产环境中一般单独定义出来,需要将haproxy的info及notice日志分别记录到不同的日志文件中。

      需要修改rsyslog配置,为了编译管理,将haproxy相关的配置独立定义到haproxy.conf,并放到/etc/rsyslog.d/下。rsyslog启动时会自动加载此目录下的所有配置文件。

vim /etc/haproxy/haproxy.cfg

更改日志文件
global
    log /dev/log local0 info   节点服务器正常访问时的日志文件
    log /dev/log local1 notice    断掉一个节点服务器再次开启时的日志记录

重启haproxy服务
service haproxy restart

为了便于管理将haproxy相关的配置独立定义到haproxy.conf

vim /etc/rsyslog.d/haproxy.conf

if ($programname == 'haproxy' and $syslogseverity-text == 'info')
then -/var/log/haproxy/haproxy-info.log
&~
if ($programname == 'haproxy' and $syslogseverity-text == 'notice')
then -/var/log/haproxy/haproxy-notice.log
&~

将haproxy的info日志记录到/var/log/haproxy/haproxy-info.log下,
将notice日志记录到/var/log/haproxy/haproxy-notice.log下
“&~”表示当日志写入到日志文件后,rsyslog停止处理这个信息。

重启服务
systemctl restart rsyslog.service

 

1.正常访问节点日志

先配置网卡,在访问 

客户端访问haproxy服务器后,会产生对应的日志文件。

查看/var/log/haproxy/haproxy-info.log。

2.断开节点访问日志

       停止掉某个节点服务器,然后再刷新haproxy服务器页面,开启节点服务器,再次刷新haproxy服务器页面 则会产生haproxy-notice.log文件。

systemctl stop nginx.service 
systemctl start nginx.service 

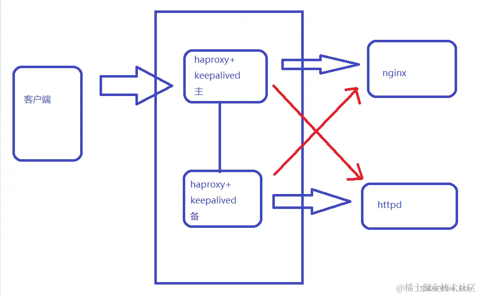
六、haproxy+keepalived+nginx 

1.配置主服务器(haproxy+keepalived)

(1)keepalived服务

yum -y install keepalived 

 

(2)修改配置文件 

cd /etc/keepalived/
cp keepalived.conf keepalived.conf.bak
vim keepalived.conf

 

 ! Configuration File for keepalived
global_defs {                   全局参数
  router_id LVS_01              指定名称,各个服务器名称要不一样
}
vrrp_instance VI_1 {            指定vrrp热备参数
  state MASTER                  服务器角色是master,备份服务器设置为BACKUP
  interface ens33               修改物理网卡名称,默认是centos6eth0 
  virtual_router_id 51          组号相同
  priority 116                  优先级,主服务器设置要大于备服务器
  advert_int 1
  authentication {
   auth_type PASS               验证类型和密码,不建议修改
   auth_pass 268
}
virtual_ipaddress {
  192.168.22.100                漂移地址(VIP)地址,可以有多个
 }
} 

systemctl start keepalived.service 
ip addr

之前haproxy已安装配置并成功启动无需再操作

2.配置备用服务器(haproxy+keepalived)

(1)准备环境:关闭防火墙

systemctl stop firewalld
systemctl disable firewalld
setenforce 0

 

(2)keepalived服务

yum -y install keepalived

 

 (3)修改配置文件

cd /etc/keepalived/
cp keepalived.conf keepalived.conf.bak
vim /etc/keepalived/keepalived.conf 

 

 ! Configuration File for keepalived
global_defs {                   全局参数
  router_id LVS_02              指定名称,各个服务器名称要不一样
}
vrrp_instance VI_1 {            指定vrrp热备参数
  state BACKUP                  服务器角色是master,备份服务器设置为BACKUP
  interface ens33               修改物理网卡名称,默认是centos6eth0 
  virtual_router_id 51          组号相同
  priority 106                  优先级,主服务器设置要大于备服务器
  advert_int 1
  authentication {
   auth_type PASS               验证类型和密码,不建议修改
   auth_pass 268
}
virtual_ipaddress {
  192.168.22.100                漂移地址(VIP)地址,可以有多个
 }
} 

 

(4)haproxy服务

 1)安装依赖包

yum -y install pcre-devel zlib-devel gcc gcc-c++ make

 

tar zxvf haproxy-1.5.19.tar.gz         解压安装包

cd haproxy-1.5.19/                     进入解压目录

make TARGET=linux2628 ARCH=x86_64      进行编译

(TARGET=linux2628 表示内核版本,使用uname -r查看内核,如:2.6.18-371.el5,此时该参数用TARGET=linux26;kernel大于2.6.28的用TARGET=linux2628)
(ARCH=x86_64   系统位数,现在基本都是64位) 

make install       安装

uname -r

 

 

 

 

2)修改配置文件

mkdir /etc/haproxy  
cp /opt/haproxy-1.5.19/examples/haproxy.cfg /etc/haproxy/  

vim /etc/haproxy/haproxy.cfg

global       全局配置,主要用于定义全局参数,属于进程级的配置,通常和操作系统配置有关
4~5行-修改,配置日志记录,local0为日志设备,默认存放到系统日志
log /dev/log local0 info
log /dev/log local0 notice
log loghost local0 
infomaxconn 4096              最大连接数,需考虑ulimit -n限制
8行-注释,chroot(改变根目录),为该服务自设置的根目录,一般需将此行注释掉
chroot /usr/share/haproxy
uid 99                        用户UID
gid 99                        用户GID
daemon                        守护进程模式
nbproc 1                      添加,设置并发进程数,建议与当前服务器CPU核数相等或为其2倍

defaults                      配置默认参数,这些参数可以被用到Listen,frontend,backend组件
log global                                      引入global定义的日志格式
mode http                                       模式为http(7层代理http,4层代理tcp)
option httplog                                  日志类别为http日志格式
option dontlognull                              不记录健康检查日志信息
retries 3                检查节点服务器失败次数,连续达到三次失败,则认为节点不可用
Redispatch               当服务器负载很高时,自动结束当前队列处理比较久的连接
maxconn 2000             最大连接数,“defaults”中的值不能超过“global”段中的定义
contimeout 5000                                  设置连接超时时间,默认单位是毫秒
clitimeout 50000                                 设置客户端超时时间,默认单位是毫秒
srvtimeout 50000                                 设置服务器超时时间,默认单位是毫秒
     timeout http-request 10s     默认http请求超时时间
     timeout queue 1m             默认队列超时时间
     timeout connect 10s          默认连接超时时间,新版本中替代contimeout,该参数向后兼容
     timeout client 1m            默认客户端超时时间,新版本中替代clitimeout,该参数向后兼容
     timeout server 1m            默认服务器超时时间,新版本中替代srvtimeout,该参数向后兼容
     timeout http-keep-alive 10s  默认持久连接超时时间
     timeout check 10s            设置心跳检查超时时间

删除下面所有listen项,添加
listen  webcluster 0.0.0.0:80     haproxy实例状态监控部分配置,定义一个名为webcluster的应用
        option httpchk GET /index.html     检查服务器的index.html文件 

  此处文件名需要与后面节点服务器页面文件名一致
        balance roundrobin                 负载均衡调度算法使用轮询算法roundrobin
        server inst1 192.168.22.228:80 check inter 2000 fall 3        定义在线节点
        server inst2 192.18.22.126:80 check inter 2000 fall 3

参数说明
balance roundrobin         负载均衡调度算法
#轮询算法:roundrobin;     最小连接数算法:leastconn;来源访问调度算法:source,类似于nginx的ip_hash

check inter 2000            表示启用对此后端服务器执行健康检查,设置健康状态检查的时间间隔,单位为毫秒
fall 3                      表示连续三次检测不到心跳频率则认为该节点失效
若节点配置后带有“backup”表示该节点只是个备份节点,仅在所有在线节点都失效该节点才启用。不携带“backup”,表示为主节点,和其它在线节点共同提供服务。

 

cp /opt/haproxy-1.5.19/examples/haproxy.init /etc/init.d/haproxy

chmod +x /etc/init.d/haproxy

chkconfig --add /etc/init.d/haproxy  添加到系统管理中

ln -s /usr/local/sbin/haproxy /usr/sbin/haproxy  

service haproxy start    或    /etc/init.d/haproxy start  //如果ningx服务器未部署会提示找不到web服务器,可以等web部署完后再开启haproxy

(5)nginx服务

之前已安装配置并成功启动,无需再进行操作

(6)httpd服务 

 之前已安装配置并成功启动,无需再进行操作

3.用haproxy服务验证 

(1)主服务器

service haproxy start

systemctl start keepalived  关闭备用服务器的keepalived

ip a

  

 

 

(2)备用服务器

service haproxy start

systemctl start keepalived  关闭主服务器的keepalived

ip a