【数字逻辑 | 组合电路基础】电路基础知识

485 阅读6分钟

本文已参与「新人创作礼」活动, 一起开启掘金创作之路。

  👉引言💎

学习的最大理由是想摆脱平庸,早一天就多一份人生的精彩;迟一天就多一天平庸的困扰。 热爱写作,愿意让自己成为更好的人...... ......

铭记于心
🎉✨🎉我唯一知道的,便是我一无所知🎉✨🎉

一、引言

ASCLL码对照表

1 模拟信号:无限连续信号

在这里插入图片描述

在传输过程中可能会严重失真,但数字信号仍然可以保持0或1,近似完美的对原始信号进行存储与复原

2 数字信号:离散有限值

在这里插入图片描述

优越性:

  • 只有1、0两种信号;具有两个稳态的元件,均可表示0 / 1两个数码.

  • 抗干扰能力强,可靠性和准确性高;

  • 可编程性(HDL 硬件描述语言);

  • 可进行各种算术运算和逻辑运算,具有一定的“逻辑思维”能力,易于实现各种控制和决策应用系统;

  • 数字信号便于存储、传输和压缩;

  • 集成度高,通用性强

3 模数的互相转换

在这里插入图片描述

4 数字硬件电路

  • 标准芯片

    可以实现常用逻辑电路的一些芯片:具有精心设计的逻辑功能和物理结构,设计者可以选取若干芯片,也可以定义互连来实现更大规模的逻辑电路。 缺点:效率低下、芯片功能固定不变

  • 可编程逻辑器件(PLD)

    经用户配置后可实现众多不同逻辑功能电路的芯片:具有可编程开关集合,用户可以选择合适的开关结构实现特定的功能。 最常用的PLD是FPGA 在这里插入图片描述

  • 全(半)定制芯片(专用芯片)

    • 首先设计芯片需要的逻辑电路,然后由工艺厂进行芯片制造。根据特定任务优化电路设计,可以获得比FPGA更好的性能 缺点:制造成本高、制造过程时间长

5 进制转换:

  • 整数部分除 2 取余,逆序排列

  • 小数部分乘 2 取整,顺序排列

  • 二进制的小数转换为十进制

    • 乘以2的负次方,从小数点后开始,依次乘以2的负一次方,2的负二次方,2的负三次方等
  • 十进制小数转二进制

在这里插入图片描述

二进制小数转十进制

在这里插入图片描述

6 应用场景

  • 通过远程控制器上的拨码开关,将 相应标码 转换为 二进制,只有当 控制器的频率编码通道值拨码开关的值匹配时,电扇才能运作 *在这里插入图片描述

  • 温度传感器以二进制输出温度值,系统读出的温度值以 ASCII 码表示,用**“F”** 表示 冰点(freezing (0-32))以下,“B” 表示沸点以上( boiling (212 or more)),“N” 表示正常值(normal),显示器将ASCII 码转换成对应的字母显示出来

    在这里插入图片描述

  • 无线射频识别器 (RFID tag)是一个自动响应射频信号的芯片,即自动发送一个识别数字的唯一信号。用8位十六进制数表示比32位二进制数 表示错误率更小

在这里插入图片描述

二、数字逻辑电路导论:

1 布尔代数 运算公式.

在这里插入图片描述 在这里插入图片描述 在这里插入图片描述

  • 最后两个证明 在这里插入图片描述 在这里插入图片描述

  • 对偶式

    • 变 +, 1 变 0

    再不改变运算顺序的情况下,互为对偶式的两式等价

  • 注意 无中生有法 的使用:积中 乘1,和中 +0

2 门电路综合的一般步骤

  1. 逻辑抽象-列真值表-写出对应的逻辑表达式(可化简)

    其实就是将题目输入与输出 以代数的形式自然表现出来,即相当于主析取范式的成真赋值,并且那些极小项就是题目中输出1的组合;也可以 取主析取范式的成假赋值,最后取反

  2. 选择合适的门电路进行综合

  3. 测试电路,验证是否符合要求

3 门电路综合例题

  • 1 二进制加法器

在这里插入图片描述在这里插入图片描述

  • 2 三通道点灯控制器 在这里插入图片描述 在这里插入图片描述 在这里插入图片描述

在这里插入图片描述

  • 3 与或 —> 与非

    减少了电路中门的种类

    在这里插入图片描述

    同理:或与 —> 或非 在这里插入图片描述

4 最小项(积之和)与最大项(和之积)

  • 最小项性质

    1. 在输入变量的任何组合的取值下必有一个最小项,并且仅有一个最小项的值为1 ;如:三变量x=1、y=0、z=1时, xy'z =1

    2. 全体最小项之和为1,主西去范式分成任意两份,一定是1 和 0,也就是F与F',(因为组成的所有最小项中在一次组合下仅有一个为1,其他都为0)

    3. 任意两个最小项乘积为0

    4. 若两个最小项只有一个因子不同,称他们具有相邻性。具有相邻性的最小项之和可以合并成一项,并消去一对因子

    因为函数的组成形式确定,不确定的是对应的输入组合,所以有以上条件成立,注意所有最小项在任 一 组合情况下 是无法同时满足为1的

  • 最大项性质

    1. 在输入变量的任何组合的取值下必有一个最大项,并且仅有一个最大项的值为0 ;

    2. 全体最大项之积为0

    3. 任意两个最大项之和为1

    4. 若两个最小项只有一个因子不同,称他们具有相邻性。具有相邻性的最小项之和可以合并成一项,并消去一对因子

  • 根据德摩根定律,下标相同的最小项与最大项为互补关系: Mi= m'i
  • eg:

在这里插入图片描述

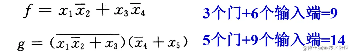
评价逻辑电路成本的指标:电路中逻辑门总数+所有逻辑门输入数的总数

在这里插入图片描述

有时候实际问题中 认为 非门的成本与输入门成本差不多,故不计算非门的成本

卡诺图

  • 卡诺图 简化函数:

    反函数(最大项与最小项的取反转化)

在这里插入图片描述 在这里插入图片描述

  • 注意事项

在这里插入图片描述

在这里插入图片描述

  • 蕴含项:

    蕴含项 就是 卡诺图里能够得到的所有不同形状的圈

    质蕴含项 就是 不能变得更大的卡诺圈

    若某蕴涵项中删去任意一个字符不再是一个有效蕴涵项,称为质蕴涵项

    包含有不被其他任何质蕴涵项所包含的最小项。对应卡诺圈包含了不可能被其他任何卡诺圈包含的1方格。 基本质项是不可去掉的与项,但不是全部的与项

    如果消去字符 是蕴含项 就是说 扩大圈仍然是个卡诺圈

在这里插入图片描述

  • eg:

在这里插入图片描述

🌹写在最后💖: 路漫漫其修远兮,吾将上下而求索!伙伴们,再见!🌹🌹🌹在这里插入图片描述