Day 4 | 24. 两两交换链表中的节点 、19.删除链表的倒数第N个节点、面试题 02.07. 链表相交、142.环形链表II

50 阅读4分钟

24. 两两交换链表中的节点

给你一个链表,两两交换其中相邻的节点,并返回交换后链表的头节点。你必须在不修改节点内部的值的情况下完成本题(即,只能进行节点交换)。

image.png

输入: head = [1,2,3,4]
输出: [2,1,4,3]

思路

递归调用

返回值:交换完成的子链表

调用单元:设需要交换的两个点为 head 和 next,head 连接后面交换完成的子链表,next 连接 head,完成交换

终止条件:head 为空指针或者 next 为空指针,也就是当前无节点或者只有一个节点,无法进行交换

代码

# Definition for singly-linked list.
# class ListNode:
#     def __init__(self, val=0, next=None):
#         self.val = val
#         self.next = next
class Solution:
    def swapPairs(self, head: Optional[ListNode]) -> Optional[ListNode]:
      if not head or not head.next:
        return head
      newhead = head.next
      head.next = self.swapPairs(newhead.next)
      newhead.next = head
      return newhead

19.删除链表的倒数第N个节点

给你一个链表,删除链表的倒数第 n 个结点,并且返回链表的头结点。

image.png

输入: head = [1,2,3,4,5], n = 2
输出: [1,2,3,5]

思路

fast指针先走n步,然后slow和fast同时走直到fast走到最后一个节点,此时删除slow.next即为删除链表的倒数第n个节点

代码

# Definition for singly-linked list.
# class ListNode:
#     def __init__(self, val=0, next=None):
#         self.val = val
#         self.next = next
class Solution:
    def removeNthFromEnd(self, head: Optional[ListNode], n: int) -> Optional[ListNode]:
        dummy = ListNode(next = head)
        slow = dummy
        fast = dummy
        while n != 0:
            fast = fast.next
            n -= 1
        while fast.next:
            slow = slow.next
            fast = fast.next
        slow.next = slow.next.next
        return dummy.next

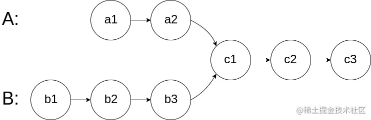
面试题 02.07. 链表相交

给你两个单链表的头节点 headA 和 headB ,请你找出并返回两个单链表相交的起始节点。如果两个链表没有交点,返回 null 。

图示两个链表在节点 c1 开始相交:

image.png

题目数据 保证 整个链式结构中不存在环。

注意,函数返回结果后,链表必须 保持其原始结构 。

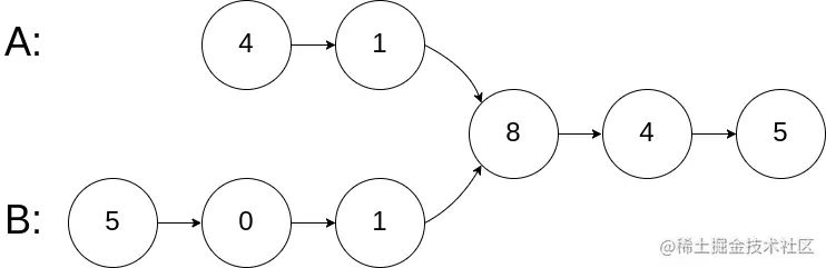
image.png

输入:intersectVal = 8, listA = [4,1,8,4,5], listB = [5,0,1,8,4,5], skipA = 2, skipB = 3
输出:Intersected at '8'
解释:相交节点的值为 8 (注意,如果两个链表相交则不能为 0)。
从各自的表头开始算起,链表 A 为 [4,1,8,4,5],链表 B 为 [5,0,1,8,4,5]。
在 A 中,相交节点前有 2 个节点;在 B 中,相交节点前有 3 个节点。

思路

考虑构建两个节点指针 A, B 分别指向两链表头节点 headA , headB ,做如下操作:

指针 A 先遍历完链表 headA ,再开始遍历链表 headB ,

指针 B 先遍历完链表 headB ,再开始遍历链表 headA

若两链表 有 公共尾部 (即 c > 0c>0 ) :指针 A , B 同时指向「第一个公共节点」node 。 若两链表 无 公共尾部 (即 c = 0c=0 ) :指针 A , B 同时指向 null 。 因此返回 A 即可。

代码

# Definition for singly-linked list.
# class ListNode:
#     def __init__(self, x):
#         self.val = x
#         self.next = None

class Solution:
    def getIntersectionNode(self, headA: ListNode, headB: ListNode) -> ListNode:
        if not headA or not headB:
            return None
        
        A, B = headA, headB
        
        while A != B:
            A = A.next if A else headB
            B = B.next if B else headA
        
        return A

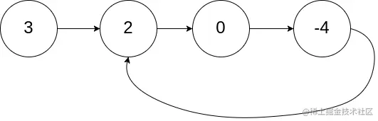
142.环形链表II

给定一个链表的头节点  head ,返回链表开始入环的第一个节点。 如果链表无环,则返回 null。

如果链表中有某个节点,可以通过连续跟踪 next 指针再次到达,则链表中存在环。 为了表示给定链表中的环,评测系统内部使用整数 pos 来表示链表尾连接到链表中的位置(索引从 0 开始)。如果 pos 是 -1,则在该链表中没有环。注意:pos 不作为参数进行传递,仅仅是为了标识链表的实际情况。

不允许修改 链表。

image.png

输入: head = [3,2,0,-4], pos = 1
输出: 返回索引为 1 的链表节点
解释: 链表中有一个环,其尾部连接到第二个节点。

思路: 设两指针 fastslow 指向链表头部 headfast 每轮走 2 步,slow 每轮走 1 步 当 fastslow指针重合时,slow指针 位置不变 ,将fast指针重新 指向链表头部节点 ;slowfast同时每轮向前走 1 步;当两指针第二次重合时指向节点即为环形入口

代码

# Definition for singly-linked list.
# class ListNode:
#     def __init__(self, x):
#         self.val = x
#         self.next = None

class Solution:
    def detectCycle(self, head: Optional[ListNode]) -> Optional[ListNode]:
        fast, slow = head, head
        while True:
            if not (fast and fast.next):
                return
            fast = fast.next.next
            slow = slow.next
            if fast == slow:
                break
        fast = head
        while fast != slow:
            fast = fast.next
            slow = slow.next
        return fast  

总结

链表的题目还要熟练递归的操作和双指针两种做法