算法图解之Swift实践【第六章 广度优先搜索】

288 阅读7分钟

本人已参与「新人创作礼」活动,一起开启掘金创作之路。

广度优先搜索(breadth-first search,BFS)是一种图算法。

图简介

图模拟一组连接。 图有节点(node)和边(edge)组成。 边包含有向边和无向边。 一个节点可能与众多的节点直接相连,直接相连的节点被称为邻节点。在一个图中,可以有许多节点和边。

广度优先搜索

解决最短路径问题的算法被称为广度优先搜索。

  1. 使用图来建立问题模型。
  2. 使用广度优先搜索解决问题。

广度优先搜索是一种用于图的查找算法,可帮助回答两类问题。

  • 第一类问题:从节点A出发,有前往节点B的路径吗?
  • 第二类问题:从节点A出发,前往节点B的哪条路径最短?

对于第一类问题,路径是否存在,广度优先搜索的方式是:

  1. 创建包含节点A的邻节点的列表。
  2. 检查这些邻节点是否为节点B,若为节点B,则搜索完成。
  3. 若不为节点B,则将该节点其余节点加入到列表中,继续搜索其余节点。 这就是广度优先搜索算法。

队列

为了将节点按顺序添加,需要使用数据结构,那就是队列(queue)。 队列只支持两种操作:入队出队。 队列类似于栈,不能随机地访问队列中的元素。 但与栈后进先出(Last In First Out,LIFO)不同的是,队列是一种先进先出(First In First Out,FIFO)的数据结构。

实现图

节点与相邻节点的有向连接用散列表来表示。

图

图不过是一系列的节点和边,以上图的映射关系可以用散列表表示。

var graph: [String: [String]] = [:]
graph["you"] = ["alice", "bob", "claire"]
graph["bob"] = ["anuj", "peggy"]
graph["alice"] = ["peggy"]
graph["claire"] = ["thom", "jonny"]
graph["anuj"] = []
graph["peggy"] = []
graph["thom"] = []
graph["jonny"] = []

you这个节点被映射到了一个数组,因此graph["you"]是一个数组,包含了you的全部相邻节点。 同时,在定义图的时候,定义的先后顺序不重要。 上图中的图为有向图(directed graph),其中的关系是单向的。

实现算法

所谓广度优先搜索,就是从图中的某个节点出发,寻找紧邻的、尚未访问的节点,找到多少就访问多少,然后分别从找到的这些节点出发,继续寻找紧邻的、尚未访问的节点,直到找到目标节点或存放节点的队列被清空。

  1. 创建一个队列,用于存储要检查的节点。
  2. 从队列中弹出一个节点。
  3. 检查这个节点是否为目标节点。
  4. 如果是,则找到目标节点。如果不是,则将这个节点的所有邻居节点加入队列中。
  5. 若此时队列为空,则目标节点不存在。
  6. 重复步骤2-5,直到找到目标节点或队列为空。

实现队列

struct Queue<T> {
    // 基于数组
    fileprivate var list = Array<T>()
    // 属性,队列是否为空
    var isEmpty: Bool {
        return list.isEmpty
    }
    
    // 入列
    public mutating func enqueue(_ element: T) {
        list.append(element)
    }
    
    // 出列
    public mutating func dequeue() -> T? {
        if list.isEmpty == false {
            let first = list.first
            list.remove(at: 0)
            return first
        } else {
            return nil
        }
    }
    
    // peek 查看队列的第一个元素
    public mutating func peek() -> T? {
        return list.first
    }
}

判断是否为目标节点

func isSeller(_ persons: [String]) -> Bool {
    for person in persons {
        if person == "jonny" {
            return true
        }
    }
    
    return false
}

搜索是否存在目标节点

func search(_ name: String) -> Bool {
    // 创建队列
    var search_queue = Queue<[String]>()
    let item = graph[name]!
    
    search_queue.enqueue(item)
    var searched: [[String]] = [] // 记录已搜索节点,避免进入死循环
    
    // 搜索
    while search_queue.isEmpty { // 搜索列表不为空,继续循环
        let person = search_queue.dequeue()!
        if !searched.contains(person) { // 判断当前节点是否已搜索
            if isSeller(person) { // 找到目标节点,返回`true`
                return true
            } else { // 不是目标节点
                search_queue.enqueue(person) // 将该节点的所有邻节点都入队
                searched.append(person) // 标记该节点已搜索
            }
        }
    }
    
    return false // 搜索列表为空,循环结束,没有找到目标节点
}

从某种程度上说,这种列表是有序的。如果任务A依赖于任务B,在列表中任务A就必须在任务B后面。这被称为拓扑排序,使用它可根据图创建一个有序列表。假设你正在规划一场婚礼,并有一个很大的图,其中充斥着需要做的事情,但却不知道要从哪里开始。这时就可使用拓扑排序来创建一个有序的任务列表。 假设你有一个家谱。

截屏2022-09-27 09.04.24.png

这是一个图,因为它由节点(人)和边组成。其中的边从一个节点指向其父母,但所有的边都往下指。在家谱中,往上指的边不合情理!因为你父亲不可能是你祖父的父亲!

截屏2022-09-27 09.05.18.png

这种图被称为。树是一种特殊的图,其中没有往后指的边。

练习

对于下面的每个图,使用广度优先搜索算法来找出答案。 6.1 找出从起点到终点的最短路径的长度。

截屏2022-09-26 16.56.38.png

最短路径的长度为2。

6.2 找出从cab到bat的最短路径的长度。

截屏2022-09-26 16.58.51.png

最短路径的长度为2。

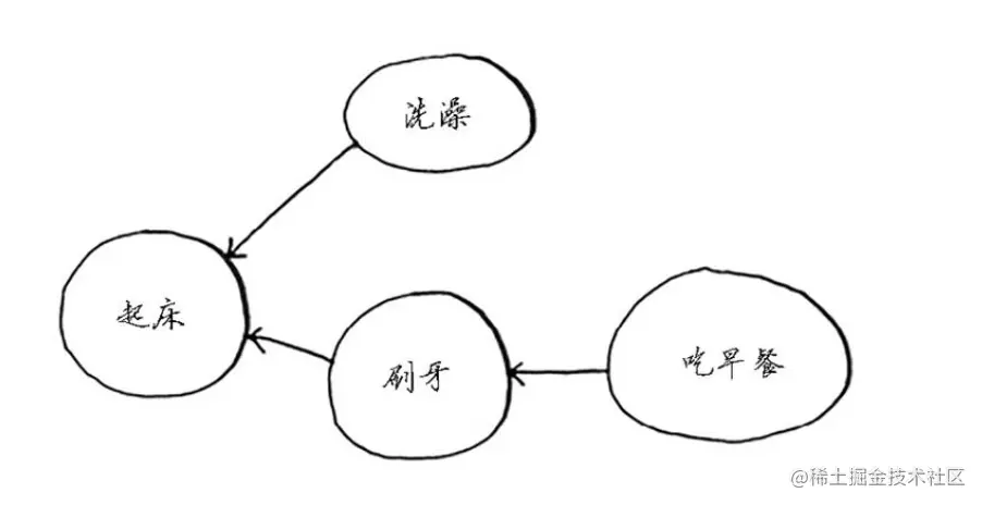
下面的小图说明了我早晨起床后要做的事情。

截屏2022-09-26 16.53.25.png

该图指出,我不能没刷牙就吃早餐,因此“吃早餐”依赖于“刷牙”。 另一方面,洗澡不依赖于刷牙,因为我可以先洗澡再刷牙。根据这个图,可创建一个列表,指出我需要按什么顺序完成早晨起床后要做的事情: (1) 起床 (2) 洗澡 (3) 刷牙 (4) 吃早餐 请注意,“洗澡”可随便移动,因此下面的列表也可行: (1) 起床 (2) 刷牙 (3) 洗澡 (4) 吃早

6.3 请问下面的三个列表哪些可行、哪些不可行?

截屏2022-09-26 16.55.18.png

A:不可行,吃早餐依赖于刷牙,因此3不能在4前面。

B:可行,符合图的顺序。

C:不可行,洗澡依赖于起床,因此1不能在2前面。

6.4 下面是一个更大的图,请根据它创建一个可行的列表。

截屏2022-09-27 09.04.03.png

1.起床 2.锻炼 3.洗澡 4.穿衣服 5.刷牙 6.吃早餐 7.打包午餐

6.5 请问下面哪个图也是树?

截屏2022-09-27 09.09.54.png

A是树,B不是树,C是树

A和C没有往后指的边,因此是树;B有向后指的边,因此不是树。

小结

  • 广度优先搜索指出是否有从A到B的路径。
  • 如果有,广度优先搜索将找出最短路径。
  • 面临类似于寻找最短路径的问题时,可尝试使用图来建立模型,再使用广度优先搜索来解决问题。
  • 有向图中的边为箭头,箭头的方向指定了关系的方向,例如,rama→adit表示rama欠adit钱。
  • 无向图中的边不带箭头,其中的关系是双向的,例如,ross - rachel表示“ross与rachel约会,而rachel也与ross约会”。
  • 队列是先进先出(FIFO)的。
  • 栈是后进先出(LIFO)的。
  • 你需要按加入顺序检查搜索列表中的人,否则找到的就不是最短路径,因此搜索列表必须是队列。
  • 对于检查过的人,务必不要再去检查,否则可能导致无限循环。

拓展与应用

LeetCode 104. 二叉树的最大深度

给定一个二叉树,找出其最大深度。 二叉树的深度为根节点到最远叶子节点的最长路径上的节点数。

说明: 叶子节点是指没有子节点的节点。

示例: 给定二叉树 [3,9,20,null,null,15,7]

3

/ \

9 20

/ \

15 7

返回它的最大深度 3 。

首先构建二叉树

public class TreeNode {
     public var val: Int
     public var left: TreeNode?
     public var right: TreeNode?
     public init() { self.val = 0; self.left = nil; self.right = nil; }
     public init(_ val: Int) { self.val = val; self.left = nil; self.right = nil; }
     public init(_ val: Int, _ left: TreeNode?, _ right: TreeNode?) {
         self.val = val
         self.left = left
         self.right = right
     }
}

运用BFS求最大深度:

  1. 将根节点入队
  2. 当队列不为空时,对每一层的节点进行入列与出列操作,每遍历一层,深度+1,当队列为空时结束循环,返回最终计算得到的深度。
func maxDepth(_ root: TreeNode?) -> Int {
    if root == nil {
        return 0
    }
    
    var queue: [TreeNode] = [root!]
    var depth = 0
    
    while !queue.isEmpty {
        for _ in 0..<queue.count {
            let node = queue.removeFirst()
            if node.left != nil {
                queue.append(node.left!)
            }
            if node.right != nil {
                queue.append(node.right!)
            }
        }
        
        depth += 1
    }
    
    return depth
}