NodeJS

169 阅读29分钟

Welcome Node.js

正则练习: regex101: build, test, and debug regex

一 认识

1. Node

认识

Node.js 是一个基于 Chrome V8 引擎的 JavaScript 运行环境。

Node.js中的JS运行环境

image-20220607233125364

① 浏览器是 JavaScript 的前端运行环境。

② Node.js 是 JavaScript 的后端运行环境。

③ Node.js 中无法调用 DOM 和 BOM 等 浏览器内置 API。

2. 终端

终端(英文:Terminal)是专门为开发人员设计的,用 于实现人机交互的一种方式。

快捷键

① 使用 ↑ 键,可以快速定位到上一次执行的命令

② 使用 tab 键,能够快速补全路径

③ 使用 esc 键,能够快速清空当前已输入的命令

④ 输入 cls 命令,可以清空终端


3 模块

fs模块

fs 模块是 Node.js 官方提供的、用来操作文件的模块。它提供了一系列的方法和属性,用来满足用户对文件的操作需求。例如

⚫ fs.readFile() 方法,用来读取指定文件中的内容

image-20220608103130832

参数1:必选参数,字符串,表示文件的路径。

参数2:可选参数,表示以什么编码格式来读取文件。

参数3:必选参数,文件读取完成后,通过回调函数拿到读取的结果。


⚫ fs.writeFile() 方法,用来向指定的文件中写入内容

image-20220608103731218

参数1:必选参数,需要指定一个文件路径的字符串,表示文件的存放路径。

参数2:必选参数,表示要写入的内容。

参数3:可选参数,表示以什么格式写入文件内容,默认值是 utf8。

参数4:必选参数,文件写入完成后的回调函数。

2.2 路径拼接

在使用 fs 模块操作文件时,如果提供的操作路径是以 ./ 或 ../ 开头的相对路径时,很容易出现路径动态拼接错误的问题。

原因:代码在运行的时候,会以执行 node 命令时所处的目录,动态拼接出被操作文件的完整路径。

解决方案:在使用 fs 模块操作文件时,直接提供完整的路径,不要提供 ./ 或 ../ 开头的相对路径,从而防止路径动态拼接的问题。

解决

使用__dirname(当前文件所处目录)


path路径模块

path 模块是 Node.js 官方提供的、用来处理路径的模块。它提供了一系列的方法和属性,用来满足用户对路径的处理 需求。

⚫ path.join() 方法,用来将多个路径片段拼接成一个完整的路径字符串

image-20220608122427413

⚫ path.basename() 方法,用来从路径字符串中,将文件名解析出来

image-20220608122445742

image-20220608122901752

⚫ path.extname() 方法,可以文件扩展名部分,

image-20220608123003955


Http模块

回顾:什么是客户端、什么是服务器?

在网络节点中,负责消费资源的电脑,叫做客户端;负责对外提供网络资源的电脑,叫做服务器。

http 模块是 Node.js 官方提供的、用来创建 web 服务器的模块。通过 http 模块提供的 http.createServer() 方法,就能方便的把一台普通的电脑,变成一台 Web 服务器,从而对外提供 Web 资源服务。

如果要希望使用 http 模块创建 Web 服务器,则需要先导入它:

image-20220608135017231

IP地址

IP 地址就是互联网上每台计算机的唯一地址,因此 IP 地址具有唯一性。

IP 地址的格式:通常用“点分十进制”表示成(a.b.c.d)的形式,其中,a,b,c,d 都是 0~255 之间的十进制整数。例如:用点分十进表示的 IP地址(192.168.1.1)

注意:

互联网中每台 Web 服务器,都有自己的 IP 地址

②在开发期间,自己的电脑既是一台服务器,也是一个客户端,为了方便测试,可以在自己的浏览器中输入 127.0.0.1 这个 IP 地址,就能把自己的电脑当做一台服务器进行访问了。

域名和域名服务器

尽管 IP 地址能够唯一地标记网络上的计算机,但IP地址是一长串数字,不直观,而且不便于记忆,于是人们又发明了另一套字符型的地址方案,即所谓的域名(* Domain Name***)地址**。

IP地址和域名是一一对应的关系,这份对应关系存放在一种叫做域名服务器(DNS,Domain name server)的电脑中。使用者只需通过好记的域名访问对应的服务器即可,对应的转换工作由域名服务器实现。因此,域名服务器就是提供 IP 地址和域名之间的转换服务的服务器

注意:

①单纯使用 IP 地址,互联网中的电脑也能够正常工作。但是有了域名的加持,能让互联网的世界变得更加方便。

②在开发测试期间, 127.0.0.1 对应的域名是 localhost,它们都代表我们自己的这台电脑,在使用效果上没有任何区别。

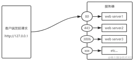
端口号

计算机中的端口号,就好像是现实生活中的门牌号一样。通过门牌号,外卖小哥可以在整栋大楼众多的房间中,准确把外卖送到你的手中。

同样的道理,在一台电脑中,可以运行成百上千个 web 服务。每个 web 服务都对应一个唯一的端口号。客户端发送过来的网络请求,通过端口号,可以被准确地交给对应的 web 服务进行处理。

image-20220608140926890

注意:

①每个端口号不能同时被多个 web 服务占用。

②在实际应用中,URL 中的 80 端口可以被省略。

3.1 搭建Web服务器

一般步骤Steps:

  1. 导入http模块
  2. 创建web实例对象
  3. 为服务器绑定request事件,监听客户端的请求
  4. 启动服务
 //引入模块
 const http = require('http');
 //创建服务器实例对象
 const server = http.createServer();
 //绑定on事件,监听客户端发送的网络请求
 server.on('request', (req, res) => {
   console.log(req, res);
   console.log("有人请求了服务器");
 })
 //listen事件,开启服务器
 server.listen(8080, () => {
   console.log("服务器已经启动");
 }) 
 ​

req请求对象

只要服务器接收到了客户端的请求,就会调用通过 server.on() 为服务器绑定的 request 事件处理函数。

如果想在事件处理函数中,访问与客户端相关的数据属性,可以使用如下的方式:

image-20220608143943802

res请求对象

在服务器的 request 事件处理函数中,如果想访问与服务器相关的数据属性,可以使用如下的方式:

image-20220608144000689

案例

 const server = require('http').createServer();//创建server实例化对象
 server.on('request',(req,res)=>{
   console.log("有人访问了服务器");
   //调用res方法,向客户端相应内容
   //设置响应头Content-type的值为 text/html charset=utf-8
   res.setHeader('Content-Type', 'text/html; charset=utf-8')
   res.end( `请求的方法为:${req.method},请求的路径为:${req.url}`);
 })
 server.listen(8080,()=>{
   console.log("服务器8080开启成功");
 })
 ​

解决中文乱码

   res.setHeader('Content-Type', 'text/html; charset=utf-8')

3.2 根据不同url相应不同html

二 模块化

模块化是指解决一个复杂问题时,自顶向下逐层把系统划分成若干模块的过程。对于整个系统来说,模块是可组合、分解和更换的单元。

把代码进行模块化拆分的好处:

①提高了代码的复用性

②提高了代码的可维护性

③可以实现按需加载

模块化规范

模块化规范就是对代码进行模块化的拆分与组合时,需要遵守的那些规则。

模块化规范的好处:大家都遵守同样的模块化规范写代码,降低了沟通的成本,极大方便了各个模块之间的相互调用,利人利己。

Node.js中模块化

Node.js 中根据模块来源的不同,将模块分为了 3 大类,分别是:

l 内置模块(内置模块是由 Node.js 官方提供的,例如 fs、path、http 等)

l 自定义模块(用户创建的每个 .js 文件,都是自定义模块)

l 第三方模块(由第三方开发出来的模块,并非官方提供的内置模块,也不是用户创建的自定义模块,使用前需要先下载)

模块加载

image-20220608212104313

模块作用域

和函数作用域类似,在自定义模块中定义的变量、方法等成员,只能在当前模块内被访问,这种模块级别的访问限制,叫做模块作用域

防止了全局变量污染的问题


2.1 向外共享的模块作用域

module对象

在每个 .js 自定义模块中都有一个 module 对象

moudle.exports

在自定义模块中,可以使用 module.exports 对象,将模块内的成员共享出去,供外界使用。

外界用 require() 方法导入自定义模块时,得到的就是 module.exports 所指向的对象

image-20220609104945121

exports

由于 module.exports 单词写起来比较复杂,为了简化向外共享成员的代码,Node 提供了 exports 对象。默认情况下,exports 和 module.exports 指向同一个对象

一些误区

warning重要: 最终共享的结果,还是以 module.exports 指向的对象为准。

image-20220609110401775

CommonJS规范

①每个模块内部,module 变量代表当前模块。

②module 变量是一个对象,它的 exports 属性(即 module.exports)是对外的接口。

③加载某个模块,其实是加载该模块的 module.exports 属性。require() 方法用于加载模块。

三 NPM与包

3.1 包

什么是包

Node.js 中的第三方模块又叫做包。

就像电脑和计算机指的是相同的东西,第三方模块和包指的是同一个概念,只不过叫法不同。

为什么需要包

由于 Node.js 的内置模块仅提供了一些底层的 API,导致在基于内置模块进行项目开发的时,效率很低。

包是基于内置模块封装出来的,提供了更高级、更方便的 API,极大的提高了开发效率。

包和内置模块之间的关系,类似于 jQuery 和 浏览器内置 API 之间的关系。

下载包

国外有一家 IT 公司,叫做 npm, Inc. 这家公司旗下有一个非常著名的网站: www.npmjs.com/ ,它是全球最大的包共享平台,你可以从这个网站上搜索到任何你需要的包,只要你有足够的耐心!

到目前位置,全球约 1100 多万的开发人员,通过这个包共享平台,开发并共享了超过 120 多万个包 供我们使用。

npm, Inc. 公司提供了一个地址为 registry.npmjs.org/ 的服务器,来对外共享所有的包,我们可以从这个服务器上下载自己所需要的包。

注意:

l 从 www.npmjs.com/ 网站上搜索自己所需要的包

l 从 registry.npmjs.org/ 服务器上下载自己需要的包

包的语义化版本规范

包的版本号是以“点分十进制”形式进行定义的,总共有三位数字,例如 2.24.0

其中每一位数字所代表的的含义如下:

第1位数字:大版本

第2位数字:功能版本

第3位数字:Bug修复版本

版本号提升的规则:只要前面的版本号增长了,则后面的版本号归零。

3.2 包管理配置文件

node_modules 的文件夹和 package-lock.json 的配置文件。

其中:

node_modules 文件夹用来存放所有已安装到项目中的包。require() 导入第三方包时,就是从这个目录中查找并加载包。

package-lock.json 配置文件用来记录 node_modules 目录下的每一个包的下载信息,例如包的名字、版本号、下载地址等。

注意:程序员不要手动修改 node_modules 或 package-lock.json 文件中的任何代码,npm 包管理工具会自动维护它们。

3.3 package.json

npm 规定,在项目根目录中,必须提供一个叫做 package.json 的包管理配置文件。用来记录与项目有关的一些配置信息。例如:

l项目的名称、版本号、描述等

l项目中都用到了哪些包

l哪些包只在开发期间会用到

l那些包在开发和部署时都需要用到

创建

 npm init -y

dependencies 节点

package.json 文件中,有一个 dependencies 节点,专门使用 npm install 命令安装了哪些包。

管理

当我们一个项目后,首先剔除 node_modules 的项目之后,再需要先把所有的包下载到项目中,才能将项目运行起来。

再一次性安装所有的包,使用:

 npm install
 //卸载
 npm uninstall

devDependencies 节点

如果某些包只在项目开发阶段会用到,在项目上线之后不会用到,则建议把这些包记录到 devDependencies 节点中。

与之对应的,如果某些包在开发和项目上线之后都需要用到,则建议把这些包记录到 dependencies 节点中。

您可以使用如下的命令,将包记录到 devDependencies 节点中:

 npm i 包名 -D
 npm install 包名 --save-dev

包的分类

使用 npm 包管理工具下载的包,共分为两大类,分别是:

⚫项目包 装到项目的 node_modules 目录中的包,都是项目包。

项目包又分为两类,分别是:

  1. 开发依赖包(被记录到 devDependencies 节点中的包,只在开发期间会用到)
  2. 核心依赖包(被记录到 dependencies 节点中的包,在开发期间和项目上线之后都会用到)

image-20220609195410533

⚫全局包 安装到 C:\Users\用户目录\AppData\Roaming\npm\node_modules 目录下。

image-20220609195415597

注意:

①只有工具性质的包,才有全局安装的必要性。因为它们提供了好用的终端命令。

②判断某个包是否需要全局安装后才能使用,可以参考官方提供的使用说明即可。

3. 4 创建包

①新建 itheima-tools 文件夹,作为包的根目录

②在 itheima-tools 文件夹中,新建如下三个文件:

lpackage.json (包管理配置文件)

lindex.js (包的入口文件)

lREADME.md (包的说明文档)

package.json

  • name:包名(npm中是否有重复的)
  • version: 版本号
  • main: 包入口
  • description:描述
  • keywords:搜索关键字
  • license:开源许可协议

image-20220611111405436

模块拆分

index中

image-20220611111755902

各模块中

image-20220611111821118

使用

image-20220611111858984

README.md文件

我们所创建的这个包的 README.md 文档中,会包含以下 6 项内容:

安装方式、导入方式、格式化时间、转义 HTML 中的特殊字符、还原 HTML 中的特殊字符、开源协议

3.5 发布包

 //登录npm
 npm login
 //切换到更目录,执行(不能重名)
     npm publish
     //删除包
     运行 npm unpublish 包名 --force 命令,

3.6 模块加载机制

模块在第一次加载后会被缓存。 这也意味着多次调用 require() 不会导致模块的代码被执行多次。

注意:不论是内置模块、用户自定义模块、还是第三方模块,它们都会优先从缓存中加载,从而提高模块的加载效率。

内置模块是由 Node.js 官方提供的模块,内置模块的加载优先级最高。

例如,require(‘fs’) 始终返回内置的 fs 模块,即使在 node_modules 目录下有名字相同的包也叫做 fs。

使用 require() 加载自定义模块时,必须指定以 ./ 或 ../ 开头的路径标识符。在加载自定义模块时,如果没有指定 ./ 或 ../ 这样的路径标识符,则 node 会把它当作内置模块或第三方模块进行加载。

自定义模块加载机制

同时,在使用 require() 导入自定义模块时,如果省略了文件的扩展名,则 Node.js 会按顺序分别尝试加载以下的文件:

①按照确切的文件名进行加载

②补全 .js 扩展名进行加载

③补全 .json 扩展名进行加载

④补全 .node 扩展名进行加载

⑤加载失败,终端报错

第三方模块加载机制

如果传递给 require() 的模块标识符不是一个内置模块,也没有以 ‘./’ 或 ‘../’ 开头,则 Node.js 会从当前模块的父目录开始,尝试从 /node_modules 文件夹中加载第三方模块。

如果没有找到对应的第三方模块,则移动到再上一层父目录中,进行加载,直到文件系统的根目录。

例如,假设在 ‘C:\Users\itheima\project\foo.js’ 文件里调用了 require(‘tools’),则 Node.js 会按以下顺序查找:

① C:\Users\itheima\project\node_modules\tools

② C:\Users\itheima\node_modules\tools

③ C:\Users\node_modules\tools

④ C:\node_modules\tools

目录作为模块

当把目录作为模块标识符,传递给 require() 进行加载的时候,有三种加载方式:

①在被加载的目录下查找一个叫做 package.json 的文件,并寻找 main 属性,作为 require() 加载的入口

②如果目录里没有 package.json 文件,或者 main 入口不存在或无法解析,则 Node.js 将会试图加载目录下的 index.js 文件。

③如果以上两步都失败了,则 Node.js 会在终端打印错误消息,报告模块的缺失:Error: Cannot find module ‘xxx’

四 Express

什么是Express

官方给出的概念:Express 是基于 Node.js 平台,快速、开放、极简的 Web 开发框架。

通俗的理解:Express 的作用和 Node.js 内置的 http 模块类似,是专门用来创建 Web 服务器的。

Express 的本质:就是一个 npm 上的第三方包,提供了快速创建 Web 服务器的便捷方法。

Express 的中文官网: http://www.expressjs.com.cn/

安装

 npm i express@版本号

4. 1 使用

image-20220612103419684

监听Get和Post请求

res

⚫res.get 监听客户端get

⚫res.post 监听客户端post

const app = require('express')();

//监听 get 
app.get('/user', (req, res) => {
  //调用 express 的 send 方法,向客户端相应 JSON 对象
  res.send(
    {
      name: '谭凯中',
      age: 12,
      sex: 'male'
    }
  )
})
//监听 post 请求
app.post('/user', (req, res) => {
  //调用 express 的 send 方法,向客户端相应 文本 对象
  res.send('请求成功');
})


app.listen(8080, () => {
  console.log("服务器启动,为 http://localhost:8080");
})

获取URL中携带的参数

⚫通过 req.query 对象,可以访问到客户端通过查询字符串的形式,发送到服务器的参数:

const app = require('express')();

app.get('/',(req,res)=>{

  //使用req.query获得客户端发送的请求参数
  console.log(req.query);
  res.send(req.query);
})

app.listen('8080',()=>{
  console.log('服务器开启');
})

匹配到的动态参数

⚫通过 req.params 对象,可以访问到 URL 中,通过 : 匹配到的动态参数:

app.get('/user/?:id',(req,res)=>{
  console.log(req.params);
  res.send(req.params)
})

4. 2 托管静态资源

express.static()

express 提供了一个非常好用的函数,叫做 express.static(),通过它,我们可以非常方便地创建一个静态资源服务器,例如,通过如下代码就可以将 public 目录下的图片、CSS 文件、JavaScript 文件对外开放访问了:

image-20220612210950460

实例

image-20220612212507173

托管多个静态资源目录

如果要托管多个静态资源目录,请多次调用 express.static() 函数:

访问静态资源文件时,express.static() 函数会根据目录的添加顺序查找所需的文件。

挂载路径前缀

如果希望在托管的静态资源访问路径之前,挂载路径前缀,则可以使用如下的方式:

image-20220612212910922

例如 http://localhost:3000/public/images/kitten.jpg

4.3 nodemon

在编写调试 Node.js 项目的时候,如果修改了项目的代码,则需要频繁的手动 close 掉,然后再重新启动,非常繁琐。

现在,我们可以使用 nodemon(www.npmjs.com/package/nod…) 这个工具,它能够监听项

安装

npm install -g nodemon

使用

nodemon 项目名.js

4.4 express 路由

广义上来讲,路由就是映射关系。

在 Express 中,路由指的是客户端的请求与服务器处理函数之间的映射关系。

Express 中的路由分 3 部分组成,分别是请求的类型、请求的 URL 地址、处理函数,格式如下

image-20220612214835991

例子

image-20220612214824443

 路由匹配过程

每当一个请求到达服务器之后,需要先经过路由的匹配,只有匹配成功之后,才会调用对应的处理函数。

在匹配时,会按照路由的顺序进行匹配,如果请求类型和请求的 URL 同时匹配成功,则 Express 会将这次请求,转交给对应的 function 函数进行处理。

image-20220612214913034

路由匹配的注意点:

①按照定义的先后顺序进行匹配

②请求类型和请求的URL同时匹配成功,才会调用对应的处理函数

4.4.1 模块化路由

为了方便对路由进行模块化的管理,Express 不建议将路由直接挂载到 app 上,而是推荐将路由抽离为单独的模块。

 路由模块创建

将路由抽离为单独模块的步骤如下:

①创建路由模块对应的 .js 文件

②调用 express.Router() 函数创建路由对象

③向路由对象上挂载具体的路由

④使用 module.exports 向外共享路由对象

⑤使用 app.use() 函数注册路由模块

入口文件

image-20220612220933838

路由模块

image-20220612221017902

 为路由模块添加前缀

image-20220612221511520


app.use()函数的作用就是用来注册全局中间件

4. 5中间件

中间件(Middleware ),特指业务流程的中间处理环节。

 中间件的调用流程

当一个请求到达 Express 的服务器之后,可以连续调用多个中间件,从而对这次请求进行预处理。

image-20220613182217056

中间件的格式

Express 的中间件,本质上就是一个 function 处理函数,Express 中间件的格式如下:

image-20220613182236535

注意:中间件函数的形参列表中,必须包含 next 参数。而路由处理函数中只包含 req 和 res。

next函数作用

next 函数是实现多个中间件连续调用的关键,它表示把流转关系转交给下一个中间件或路由。

image-20220613182705967


 定义中间件函数

image-20220613183547243

 全局生效的中间件

客户端发起的任何请求,到达服务器之后,都会触发的中间件,叫做全局生效的中间件。

通过调用 app.use(中间件函数),即可定义一个全局生效的中间件,示例代码如下:


中间件的作用

多个中间件之间,共享同一份 req res。基于这样的特性,我们可以在上游的中间件中,统一为 req 或 res 对象添加自定义的属性或方法,供下游的中间件或路由进行使用。

image-20220613185027863

 多个全局中间件

image-20220613202526478


 局部生效的中间件

不使用 app.use() 定义的中间件,叫做局部生效的中间件

image-20220613203342606

多个局部生效的中间件

image-20220613203610994


注意事项

①一定要在路由之前注册中间件

②客户端发送过来的请求,可以连续调用多个中间件进行处理

③执行完中间件的业务代码之后,不要忘记调用 next() 函数

④为了防止代码逻辑混乱,调用 next() 函数后不要再写额外的代码

⑤连续调用多个中间件时,多个中间件之间,共享 req 和 res 对象

 中间件分类

① 应用级别的中间件

② 路由级别的中间件

③ 错误级别的中间件

④ Express 内置的中间件

⑤ 第三方的中间件

应用级别的中间件

通过 app.use() 或 app.get() 或 app.post() ,绑定到 app 实例上的中间件

 路由级别的中间件

绑定到 express.Router() 实例上的中间件,叫做路由级别的中间件。它的用法和应用级别中间件没有任何区别。只不过,应用级别中间件是绑定到 app 实例上,路由级别中间件绑定到 router 实例上,代码示例如下:

错误级别的中间件

错误级别中间件的作用:专门用来捕获整个项目中发生的异常错误,从而防止项目异常崩溃的问题。

格式:错误级别中间件的 function 处理函数中,必须有 4 个形参,形参顺序从前到后,分别是 (err, req, res, next)。

app.use((err,req,res,next)=>{
  console.log("发生错误!"+err.message);
})

错误级别中间件要注册在所有路由之后

Express内置的中间件

自 Express 4.16.0 版本开始,Express 内置了 3 个常用的中间件,极大的提高了 Express 项目的开发效率和体验:

① express.static 快速托管静态资源的内置中间件,例如: HTML 文件、图片、CSS 样式等(无兼容性)

② express.json 解析 JSON 格式的请求体数据(有兼容性,仅在 4.16.0+ 版本中可用)

③ express.urlencoded 解析 URL-encoded 格式的请求体数据(有兼容性,仅在 4.16.0+ 版本中可用)

如果不配置表单数据的中间件,则req.body默认为undefined

image-20220614085859640

第三方的中间件

非 Express 官方内置的,而是由第三方开发出来的中间件,叫做第三方中间件。在项目中,大家可以按需下载并配置第三方中间件,从而提高项目的开发效率。

例如:在 express@4.16.0 之前的版本中,经常使用 body-parser 这个第三方中间件,来解析请求体数据。使用步骤如下:

①运行 npm install body-parser 安装中间件

②使用 require 导入中间件

③调用 app.use() 注册并使用中间件

注意Express 内置的 express.urlencoded 中间件,就是基于 body-parser 这个第三方中间件进一步封装出来的。

 自定义中间件

4. 6 Express 写接口

 创建API路由模块

4. 7 跨域

解决接口跨域问题的方案主要有两种:

① CORS(主流的解决方案,推荐使用)

② JSONP(有缺陷的解决方案:只支持 GET 请求)

 利用cors中间件解决跨域

image-20220614163911177

cors 是 Express 的一个第三方中间件。通过安装和配置 cors 中间件,可以很方便地解决跨域问题。

使用步骤分为如下 3 步:

①运行 npm install cors 安装中间件

②使用 const cors = require(‘cors’) 导入中间件

③在路由之前调用 app.use(cors()) 配置中间件

 cors中间件

CORS (Cross-Origin Resource Sharing,跨域资源共享)由一系列 HTTP 响应头组成,这些 HTTP 响应头决定浏览器是否阻止前端 JS 代码跨域获取资源

浏览器的同源安全策略默认会阻止网页“跨域”获取资源。但如果接口服务器配置了 CORS 相关的 HTTP 响应头,就可以解除浏览器端的跨域访问限制。

image-20220614164651455

image-20220614164656200

cors响应头

CORS响应头部 - Access-Control-Allow-Origin

如果指定了 Access-Control-Allow-Origin 字段的值为通配符 ***** ,表示允许来自任何域的请求,示例代码如下:

image-20220614165310245

CORS响应头部 - Access-Control-Allow-Headers

默认情况下,CORS 支持客户端向服务器发送如下的 9 个请求头:

Accept、Accept-Language、Content-Language、DPR、Downlink、Save-Data、Viewport-Width、Width 、Content-Type (值仅限于 text/plain、multipart/form-data、application/x-www-form-urlencoded 三者之一)

如果客户端向服务器发送了额外的请求头信息,则需要在服务器端,通过 Access-Control-Allow-Headers 对额外的请求头进行声明,否则这次请求会失败!

image-20220614165326585

CORS响应头部 - Access-Control-Allow-Methods

默认情况下,CORS 仅支持客户端发起 GET、POST、HEAD 请求。

如果客户端希望通过 PUT、DELETE 等方式请求服务器的资源,则需要在服务器端,通过 Access-Control-Alow-Methods来指明实际请求所允许使用的 HTTP 方法。

示例代码如下:

image-20220614165334800

 cors请求分类

客户端在请求 CORS 接口时,根据请求方式和请求头的不同,可以将 CORS 的请求分为两大类,分别是:

①简单请求

②预检请求

4.8 cors跨域资源共享

 简单请求

请求方式为: GET,POST,HEAD

 预检请求

请求方式为: GET,POST,HEAD之外的

请求头中包含非自定义头部字段

向服务器发送了application/json格式的数据

浏览器与服务器正式通信之前,浏览器会先发送OPTION请求进行预检,已获得服务器是否允许该请求,这一次的 OPTION 请求称为“预检请求”。服务器成功响应预检请求后,才会发送真正的请求,并且携带真实数据。

 区别

简单请求的特点:客户端与服务器之间只会发生一次请求。

预检请求的特点:客户端与服务器之间会发生两次请求,OPTION 预检请求成功之后,才会发起真正的请求。

4.9 JSONP接口

概念:浏览器端通过

特点:

①JSONP 不属于真正的 Ajax 请求,因为它没有使用 XMLHttpRequest 这个对象。

②JSONP 仅支持 GET 请求,不支持 POST、PUT、DELETE 等请求。

如果项目中已经配置了 CORS 跨域资源共享,为了防止冲突,必须在配置 CORS 中间件之前声明 JSONP 的接口。否则 JSONP 接口会被处理成开启了 CORS 的接口。示例代码如下:

五 数据库与身份验证

 连接数据库

 项目中使用MySQL

1.安装 mysql模块

mysql 模块是托管于 npm 上的第三方模块。它提供了在 Node.js 项目中连接和操作 MySQL 数据库的能力。

想要在项目中使用它,需要先运行如下命令,将 mysql 安装为项目的依赖包:

image-20220615115653276

2.配置 mysql 模块

image-20220615122105179

  1. 测试是否链接
db.query('SELECT 1',(err,res)=>{
  if(err) return console.log(err.message);
  console.log(res);
})

5.2 开发模式

目前主流的 Web 开发模式有两种,分别是:

①基于服务端渲染的传统 Web 开发模式

②基于前后端分离的新型 Web 开发模式

服务端渲染的 Web 开发模式

服务端渲染的概念:服务器发送给客户端的 HTML 页面,是在服务器通过字符串的拼接,动态生成的。因此,客户端不需要使用 Ajax 这样的技术额外请求页面的数据。代码示例如下:

image-20220615125553509

优点:

  1. 前端耗时少。因为服务器端负责动态生成 HTML 内容,浏览器只需要直接渲染页面即可。尤其是移动端,更省电。
  2. 有利于SEO。因为服务器端响应的是完整的 HTML 页面内容,所以爬虫更容易爬取获得信息,更有利于 SEO。

缺点:

  1. 占用服务器端资源。即服务器端完成 HTML 页面内容的拼接,如果请求较多,会对服务器造成一定的访问压力。
  2. 不利于前后端分离,开发效率低。使用服务器端渲染,则无法进行分工合作,尤其对于前端复杂度高的项目,不利于项目高效开发

前后端分离的 Web 开发模式

前后端分离的概念:前后端分离的开发模式,依赖于 Ajax 技术的广泛应用。简而言之,前后端分离的 Web 开发模式,就是后端只负责提供 API 接口,前端使用 Ajax 调用接口的开发模式。

优点:

  1. 开发体验好。前端专注于 UI 页面的开发,后端专注于api 的开发,且前端有更多的选择性。
  2. 用户体验好。Ajax 技术的广泛应用,极大的提高了用户的体验,可以轻松实现页面的局部刷新。
  3. 减轻了服务器端的渲染压力。因为页面最终是在每个用户的浏览器中生成的。

缺点:

  1. 不利于 SEO。因为完整的 HTML 页面需要在客户端动态拼接完成,所以爬虫对无法爬取页面的有效信息。(解决方案:利用 Vue、React 等前端框架的 SSR (server side render)技术能够很好的解决 SEO 问题!)

5.3 身份认证

身份认证(Authentication)又称“身份验证”、“鉴权”,是指通过一定的手段,完成对用户身份的确认

不同开发模式下的身份认证

① 服务端渲染推荐使用 Session 认证机制

② 前后端分离推荐使用 JWT 认证机制

HTTP 协议的无状态性

了解 HTTP 协议的无状态性是进一步学习 Session 认证机制的必要前提。

HTTP 协议的无状态性,指的是客户端的每次 HTTP 请求都是独立的,连续多个请求之间没有直接的关系,服务器不会主动保留每次 HTTP 请求的状态

image-20220615131941964

注意:现实生活中的会员卡身份认证方式,在 Web 开发中的专业术语叫做 Cookie

 Cookie

Cookie 是存储在用户浏览器中的一段不超过 4 KB 的字符串。它由一个名称(Name)、一个值(Value)和其它几个用于控制 Cookie 有效期、安全性、使用范围的可选属性组成。

不同域名下的 Cookie 各自独立,每当客户端发起请求时,会自动当前域名下所有未过期的 Cookie 一同发送到服务器。

Cookie的几大特性

①自动发送

②域名独立

③过期时限

④4KB 限制

Cookie作用

客户端第一次请求服务器的时候,服务器通过响应头的形式,向客户端发送一个身份认证的 Cookie,客户端会自动将 Cookie 保存在浏览器中。

随后,当客户端浏览器每次请求服务器的时候,浏览器会自动将身份认证相关的 Cookie,通过请求头的形式发送给服务器,服务器即可验明客户端的身份。

image-20220615135403428

Cookie不具有安全性

提高身份认证的安全性

为了防止客户伪造会员卡,收银员在拿到客户出示的会员卡之后,可以在收银机上进行刷卡认证。只有收银机确认存在的会员卡,才能被正常使用。

image-20220615135922998

这种“会员卡 + 刷卡认证”的设计理念,就是 Session 认证机制的精髓。

 Session工作原理

image-20220615140002656

5.4 express项目中使用Session

 配置

 const session = require('express-session');
 const express = require('express');
 const app = express();
 ​
 //注册为全局可用的中间件,并且为session提供配置对象
 app.use(
   session({
     secret:'itheima',
     resave:false,
     saveUninitialized:true,
   })
 )
 ​

 session中存取数据

存数据

   req.session.userInfo = req.body;
   req.session.isLogin = true;
   res.send({
     status: 0,
     msg: '登陆成功'
   })
 })

express-session 中间件配置成功后,即可通过 req.session 来访问和使用 session 对象,从而存储用户的关键信息:

取数据

 app.get('/api',(req,res)=>{
   if(req.session.isLogin){
     res.send(req.session.username)
   }
   return res.send({
     status:1,
     msg:'登录失败'
   })
 })

Session 认证机制需要配合 Cookie 才能实现。由于 Cookie 默认不支持跨域访问,所以,当涉及到前端跨域请求后端接口的时候,需要做很多额外的配置,才能实现跨域 Session 认证。

5.5 JWT 工作原理

JWT(英文全称:JSON Web Token)是目前最流行跨域认证解决方案

image-20220615160429352

总结:用户的信息通过 Token 字符串的形式,保存在客户端浏览器中。服务器通过还原 Token 字符串的形式来认证用户的身份。