删除排序链表中的重复元素(C++)

165 阅读1分钟

删除排序链表中的重复元素

给定一个已排序的链表的头 head , 删除所有重复的元素,使每个元素只出现一次 。返回 已排序的链表 。

 

示例 1:

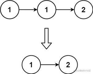
输入: head = [1,1,2]
输出: [1,2]

示例 2:

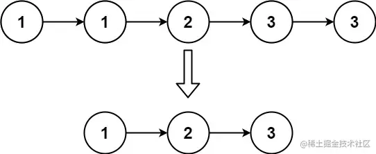
输入: head = [1,1,2,3,3]
输出: [1,2,3]

 

提示:

  • 链表中节点数目在范围 [0, 300] 内
  • -100 <= Node.val <= 100
  • 题目数据保证链表已经按升序 排列

我的代码:

/**
 * Definition for singly-linked list.
 * struct ListNode {
 *     int val;
 *     ListNode *next;
 *     ListNode() : val(0), next(nullptr) {}
 *     ListNode(int x) : val(x), next(nullptr) {}
 *     ListNode(int x, ListNode *next) : val(x), next(next) {}
 * };
 */
class Solution {
public:
    ListNode* deleteDuplicates(ListNode* head) {
        // 判断特例
        if (NULL == head) return head;
        ListNode * p = head;
        while(p->next != NULL)
        {
            // 然后就是找重复元素了
            if (p->val == p->next->val) p->next = p->next->next;
            else p = p->next;
        }
        return head;
    }
    
};