二叉树的中序遍历(C++)

76 阅读1分钟

二叉树的中序遍历

给定一个二叉树的根节点 root ,返回 它的 中序 遍历 。

 

示例 1:

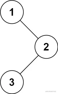
输入: root = [1,null,2,3]
输出: [1,3,2]

示例 2:

输入: root = []
输出: []

示例 3:

输入: root = [1]
输出: [1]

 

提示:

  • 树中节点数目在范围 [0, 100] 内
  • -100 <= Node.val <= 100

我的代码:

/**
 * Definition for a binary tree node.
 * struct TreeNode {
 *     int val;
 *     TreeNode *left;
 *     TreeNode *right;
 *     TreeNode() : val(0), left(nullptr), right(nullptr) {}
 *     TreeNode(int x) : val(x), left(nullptr), right(nullptr) {}
 *     TreeNode(int x, TreeNode *left, TreeNode *right) : val(x), left(left), right(right) {}
 * };
 */
class Solution {
    // 这个题还是比较熟悉 在我们当年学数据结构的时候 老师出过相关的题目
public:
    vector<int> inorderTraversal(TreeNode* root) {
        vector<int> res;
        inorder(root, res);
        return res;
    }
    void inorder(TreeNode* root, vector<int>& res)
    {
        if (!root) return;
        inorder(root->left, res);
        res.push_back(root->val);
        inorder(root->right, res);
    }
};