对称二叉树(C++)

298 阅读1分钟

对称二叉树

给你一个二叉树的根节点 root , 检查它是否轴对称。

 

示例 1:

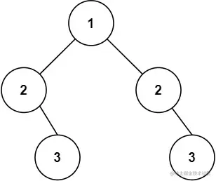
输入: root = [1,2,2,3,4,4,3]
输出: true

示例 2:

输入: root = [1,2,2,null,3,null,3]
输出: false

 

提示:

  • 树中节点数目在范围 [1, 1000] 内
  • -100 <= Node.val <= 100

我的代码:

/**
 * Definition for a binary tree node.
 * struct TreeNode {
 *     int val;
 *     TreeNode *left;
 *     TreeNode *right;
 *     TreeNode() : val(0), left(nullptr), right(nullptr) {}
 *     TreeNode(int x) : val(x), left(nullptr), right(nullptr) {}
 *     TreeNode(int x, TreeNode *left, TreeNode *right) : val(x), left(left), right(right) {}
 * };
 */
class Solution {
    // 这个题主要是 这棵树从左往右遍历和
    // 从右往左遍历是否相同
public:
    bool isSymmetric(TreeNode* root) {
        if (!root) return true;
        return traverse(root->left, root->right);
    }
    bool traverse(TreeNode* r1, TreeNode* r2)
    {
        // 左右为空, 返回true
        if (r1 == NULL && r2 == NULL) return true;

        // 如果左右有一个为空,返回false
        if (r1 == NULL || r2 == NULL) return false;

        // 如果值不相同 也返回false
        if (r1->val != r2->val) return false;
        // 最后递归 从左往右 从右往左看 是否相同
        return traverse(r1->left, r2->right) && traverse(r1->right, r2->left);
    }
};