算法第四天| 24. 两两交换链表中的节点 、19.删除链表的倒数第N个节点 、 面试题 02.07. 链表相交 、142.环形链表II

592 阅读6分钟

前言

今天是算法的第四天了,准确的说是第五天,昨天因为种种原因还有一题没有写,今天补上


24. 两两交换链表中的节点

力扣题目链接(opens new window)

给定一个链表,两两交换其中相邻的节点,并返回交换后的链表。

你不能只是单纯的改变节点内部的值,而是需要实际的进行节点交换。

24.两两交换链表中的节点-题意

思路

在链表中要处理当前节点则需要标记前一个节点,也需要标记后一个节点防止找不到后续链表。要交换两个节点,那么就需要找到这两个节点的前驱和后继。因为第一个节点没有前驱,所以需要设定一个虚拟头结点方便链表的通用处理。接下来就是翻转链表了,要注意的是翻转的顺序: 初始时,cur指向虚拟头结点,然后进行如下三步:

24.两两交换链表中的节点1

操作之后,链表如下:

24.两两交换链表中的节点2

看这个可能就更直观一些了:

24.两两交换链表中的节点3

代码

public ListNode swapPairs(ListNode head) {
    ListNode dummyNode = new ListNode(0);
    dummyNode.next = head;
    ListNode prev = dummyNode;

    while (prev.next != null && prev.next.next != null) {
      ListNode temp = head.next.next; // 缓存 next
      prev.next = head.next;          // 将 prev 的 next 改为 head 的 next
      head.next.next = head;          // 将 head.next(prev.next) 的next,指向 head
      head.next = temp;               // 将head 的 next 接上缓存的temp
      prev = head;                    // 步进1位
      head = head.next;               // 步进1位
    }
    return dummyNode.next;
}

注意

  • 本题中因为使用了虚拟头结点,则将原来的头结点head视为一个指针,在虚拟头结点上也定义了一个指针cur.(图中的cur就是代码中的prev)
  • 要注意while中的循环条件,当前驱后没有可翻转的两个节点后跳出循环。

19.删除链表的倒数第N个节点

力扣题目链接(opens new window)

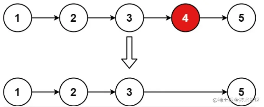
给你一个链表,删除链表的倒数第 n 个结点,并且返回链表的头结点。

进阶:你能尝试使用一趟扫描实现吗?

示例 1:

19.删除链表的倒数第N个节点

输入:head = [1,2,3,4,5], n = 2 输出:[1,2,3,5] 示例 2:

输入:head = [1], n = 1 输出:[] 示例 3:

输入:head = [1,2], n = 1 输出:[1]

思路

这道题一种想法就是先遍历一遍求出链表的长度,减去n然后再次遍历。还有一种思路就是使用双指针法,让后面的指针先向后走n步,然后二者同时向遍历,后面的指针遍历到末尾后,前面的指针所指向的就是要删除的元素,又因为想要删除当前的节点需要这个节点的前驱,那么就定义一个虚拟头结点,从头结点开始遍历。步骤如下:

  • 定义fast指针和slow指针,初始值为虚拟头结点,如图:

  • fast首先走n + 1步 ,为什么是n+1呢,因为只有这样同时移动的时候slow才能指向删除节点的上一个节点(方便做删除操作),如图: 

  • fast和slow同时移动,直到fast指向末尾,如题: 

  • 删除slow指向的下一个节点,如图: 

代码

 public ListNode removeNthFromEnd(ListNode head, int n) {
    if (head == null) {
        return null;
    }
    ListNode vi = new ListNode(0,head);
    ListNode cur = vi;
    for (int i = 0; i <= n; i++) {
        cur = cur.next;
    }
    ListNode pre = vi;
    while (cur != null) {
        pre=pre.next;
        cur =cur.next;
    }
    //此时pre为要删除节点的前驱
    pre.next = pre.next.next;
    //删除节点
    return vi.next;
}

注意

  • 这道题需要注意的是二者遍历的长度,如何遍历才能使最后pre节点刚好落在要删除节点的前驱。画图比较好理解。

面试题 02.07. 链表相交

同:160.链表相交

力扣题目链接(opens new window)

给你两个单链表的头节点 headA 和 headB ,请你找出并返回两个单链表相交的起始节点。如果两个链表没有交点,返回 null 。

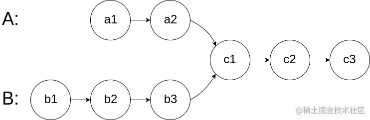
图示两个链表在节点 c1 开始相交:

题目数据 保证 整个链式结构中不存在环。

注意,函数返回结果后,链表必须 保持其原始结构 。

示例 1:

示例 2:

示例 3:

思路

这道题可以使用两层循环暴力破解,也可以使用双指针法,注意,这道题的双指针是分别在两个链表上。因为此题的相交不仅仅是单个节点的相交,而是后续所有节点都相交,且一直相交到结尾。所以我们将两个链表末尾对齐然后对其指针一起遍历: 面试题02.07.链表相交_2

此时我们就可以比较curA和curB是否相同,如果不相同,同时向后移动curA和curB,如果遇到curA == curB,则找到交点。

否则循环退出返回空指针。

代码

 public ListNode getIntersectionNode(ListNode headA, ListNode headB) {
    int lenA = 0;
    int lenB = 0;
    ListNode curA = headA;
    ListNode curB = headB;
    while (curA != null) {
        lenA++;
        curA = curA.next;
    }
    while (curB != null) {
        lenB++;
        curB = curB.next;
    }
    ListNode shortNode, longNode;
    if (lenA > lenB) {
        shortNode = headB;
        longNode = headA;
    } else {
        shortNode = headA;
        longNode = headB;
    }
    int difference = Math.abs(lenA - lenB);
    while (difference>0){
        longNode=longNode.next;
        difference--;
    }
    while (longNode!=null){
    if (longNode==shortNode){
        return longNode;
    }
        longNode=longNode.next;
        shortNode=shortNode.next;
    }
    return null;
}

注意

这道题没啥太需要注意的,主要是思路想明白了就好

142.环形链表II

力扣题目链接(opens new window)

题意: 给定一个链表,返回链表开始入环的第一个节点。 如果链表无环,则返回 null。

为了表示给定链表中的环,使用整数 pos 来表示链表尾连接到链表中的位置(索引从 0 开始)。 如果 pos 是 -1,则在该链表中没有环。

说明:不允许修改给定的链表。

循环链表

思路

这道题分为两步:第一步判断链表是否有环,第二步判断如果有环判断相加节点。

第一步使用快慢指针来判断,如果有环则二者一定会相交。 141.环形链表

第二步判断相交节点

假设从头结点到环形入口节点 的节点数为x。 环形入口节点到 fast指针与slow指针相遇节点 节点数为y。 从相遇节点 再到环形入口节点节点数为 z。 如图所示:

142环形链表2

那么相遇时: slow指针走过的节点数为: x + y, fast指针走过的节点数:x + y + n (y + z),n为fast指针在环内走了n圈才遇到slow指针, (y+z)为 一圈内节点的个数A。

因为fast指针是一步走两个节点,slow指针一步走一个节点, 所以 fast指针走过的节点数 = slow指针走过的节点数 * 2:

(x + y) * 2 = x + y + n (y + z)

两边消掉一个(x+y): x + y = n (y + z)

因为要找环形的入口,那么要求的是x,因为x表示 头结点到 环形入口节点的的距离。

所以要求x ,将x单独放在左面:x = n (y + z) - y ,

再从n(y+z)中提出一个 (y+z)来,整理公式之后为如下公式:x = (n - 1) (y + z) + z 注意这里n一定是大于等于1的,因为 fast指针至少要多走一圈才能相遇slow指针。

这个公式说明什么呢?

先拿n为1的情况来举例,意味着fast指针在环形里转了一圈之后,就遇到了 slow指针了。

当 n为1的时候,公式就化解为 x = z

这就意味着,从头结点出发一个指针,从相遇节点 也出发一个指针,这两个指针每次只走一个节点, 那么当这两个指针相遇的时候就是 环形入口的节点

也就是在相遇节点处,定义一个指针index1,在头结点处定一个指针index2。

让index1和index2同时移动,每次移动一个节点, 那么他们相遇的地方就是 环形入口的节点。

动画如下:

142.环形链表II(求入口)

代码

public ListNode detectCycle(ListNode head) {
     if (head==null){
        return null;
    }
    ListNode fast = head;
    ListNode slow = head;
    while (fast.next!=null&&fast.next.next!=null){
        fast=fast.next.next;
        slow=slow.next;
        if (fast == slow) {
            ListNode end =fast;
            ListNode start = head;
            while (start != end) {
                start=start.next;
                end=end.next;
            }
            return start;
        }
    }
    return null;
}

注意

这道题判断是否有环并不难,难得是如何找到相交节点,用到的上述的数学问题。

总结

今天学到了怎么判断链表是否有环。链表相交。链表注意的是遍历的长度和对节点的处理,二者最好画图能使思路更加清晰。