前端高频面试题及答案整理(一)

149 阅读26分钟

diff算法是怎么运作

每一种节点类型有自己的属性,也就是prop,每次进行diff的时候,react会先比较该节点类型,假如节点类型不一样,那么react会直接删除该节点,然后直接创建新的节点插入到其中,假如节点类型一样,那么会比较prop是否有更新,假如有prop不一样,那么react会判定该节点有更新,那么重渲染该节点,然后在对其子节点进行比较,一层一层往下,直到没有子节点

  • 把树形结构按照层级分解,只比较同级元素。
  • 给列表结构的每个单元添加唯一的key属性,方便比较。
  • React 只会匹配相同 classcomponent(这里面的class指的是组件的名字)
  • 合并操作,调用 componentsetState 方法的时候, React 将其标记为 - dirty.到每一个事件循环结束, React 检查所有标记 dirtycomponent重新绘制.
  • 选择性子树渲染。开发人员可以重写shouldComponentUpdate提高diff的性能

优化⬇️

为了降低算法复杂度,Reactdiff会预设三个限制:

  1. 只对同级元素进行Diff。如果一个DOM节点在前后两次更新中跨越了层级,那么React不会尝试复用他。
  2. 两个不同类型的元素会产生出不同的树。如果元素由div变为p,React会销毁div及其子孙节点,并新建p及其子孙节点。
  3. 开发者可以通过 key prop来暗示哪些子元素在不同的渲染下能保持稳定。考虑如下例子:

Diff的思路

该如何设计算法呢?如果让我设计一个Diff算法,我首先想到的方案是:

  1. 判断当前节点的更新属于哪种情况
  2. 如果是新增,执行新增逻辑
  3. 如果是删除,执行删除逻辑
  4. 如果是更新,执行更新逻辑
  • 按这个方案,其实有个隐含的前提——不同操作的优先级是相同的
  • 但是React团队发现,在日常开发中,相较于新增删除更新组件发生的频率更高。所以Diff会优先判断当前节点是否属于更新

基于以上原因,Diff算法的整体逻辑会经历两轮遍历:

  • 第一轮遍历:处理更新的节点。
  • 第二轮遍历:处理剩下的不属于更新的节点。

diff算法的作用

计算出Virtual DOM中真正变化的部分,并只针对该部分进行原生DOM操作,而非重新渲染整个页面。

传统diff算法

通过循环递归对节点进行依次对比,算法复杂度达到 O(n^3) ,n是树的节点数,这个有多可怕呢?——如果要展示1000个节点,得执行上亿次比较。。即便是CPU快能执行30亿条命令,也很难在一秒内计算出差异。

React的diff算法

  1. 什么是调和?

将Virtual DOM树转换成actual DOM树的最少操作的过程 称为 调和 。

  1. 什么是React diff算法?

diff算法是调和的具体实现。

diff策略

React用 三大策略 将O(n^3)复杂度 转化为 O(n)复杂度

策略一(tree diff):

  • Web UI中DOM节点跨层级的移动操作特别少,可以忽略不计。

策略二(component diff):

  • 拥有相同类的两个组件 生成相似的树形结构,
  • 拥有不同类的两个组件 生成不同的树形结构。

策略三(element diff):

对于同一层级的一组子节点,通过唯一id区分。

tree diff

  • React通过updateDepth对Virtual DOM树进行层级控制。
  • 对树分层比较,两棵树 只对同一层次节点 进行比较。如果该节点不存在时,则该节点及其子节点会被完全删除,不会再进一步比较。
  • 只需遍历一次,就能完成整棵DOM树的比较。

image-20210307224725566

那么问题来了,如果DOM节点出现了跨层级操作,diff会咋办呢?

答:diff只简单考虑同层级的节点位置变换,如果是跨层级的话,只有创建节点和删除节点的操作。

image-20210307224829092

如上图所示,以A为根节点的整棵树会被重新创建,而不是移动,因此 官方建议不要进行DOM节点跨层级操作,可以通过CSS隐藏、显示节点,而不是真正地移除、添加DOM节点

component diff

React对不同的组件间的比较,有三种策略

  1. 同一类型的两个组件,按原策略(层级比较)继续比较Virtual DOM树即可。
  2. 同一类型的两个组件,组件A变化为组件B时,可能Virtual DOM没有任何变化,如果知道这点(变换的过程中,Virtual DOM没有改变),可节省大量计算时间,所以 用户 可以通过 shouldComponentUpdate() 来判断是否需要 判断计算。
  3. 不同类型的组件,将一个(将被改变的)组件判断为dirty component(脏组件),从而替换 整个组件的所有节点。

注意:如果组件D和组件G的结构相似,但是 React判断是 不同类型的组件,则不会比较其结构,而是删除 组件D及其子节点,创建组件G及其子节点。

element diff

当节点处于同一层级时,diff提供三种节点操作:删除、插入、移动。

  • 插入:组件 C 不在集合(A,B)中,需要插入
  • 删除:
    • 组件 D 在集合(A,B,D)中,但 D的节点已经更改,不能复用和更新,所以需要删除 旧的 D ,再创建新的。
    • 组件 D 之前在 集合(A,B,D)中,但集合变成新的集合(A,B)了,D 就需要被删除。
  • 移动:组件D已经在集合(A,B,C,D)里了,且集合更新时,D没有发生更新,只是位置改变,如新集合(A,D,B,C),D在第二个,无须像传统diff,让旧集合的第二个B和新集合的第二个D 比较,并且删除第二个位置的B,再在第二个位置插入D,而是 (对同一层级的同组子节点) 添加唯一key进行区分,移动即��。

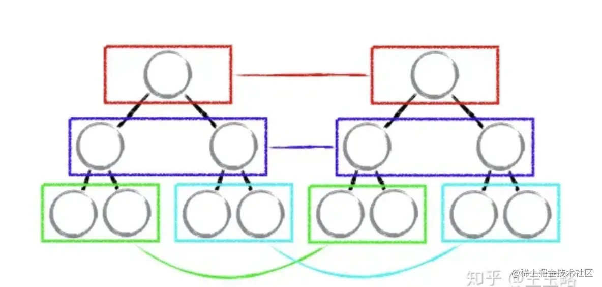
总结

  1. tree diff:只对比同一层的 dom 节点,忽略 dom 节点的跨层级移动

如下图,react 只会对相同颜色方框内的 DOM 节点进行比较,即同一个父节点下的所有子节点。当发现节点不存在时,则该节点及其子节点会被完全删除掉,不会用于进一步的比较。

这样只需要对树进行一次遍历,便能完成整个 DOM 树的比较。

image-20210302195610674

这就意味着,如果 dom 节点发生了跨层级移动,react 会删除旧的节点,生成新的节点,而不会复用。

  1. component diff:如果不是同一类型的组件,会删除旧的组件,创建新的组件

image-20210302195654736

  1. element diff:对于同一层级的一组子节点,需要通过唯一 id 进行来区分
  • 如果没有 id 来进行区分,一旦有插入动作,会导致插入位置之后的列表全部重新渲染
  • 这也是为什么渲染列表时为什么要使用唯一的 key。

diff的不足与待优化的地方

尽量减少类似将最后一个节点移动到列表首部的操作,当节点数量过大或更新操作过于频繁时,会影响React的渲染性能

与其他框架相比,React 的 diff 算法有何不同?

diff 算法探讨的就是虚拟 DOM 树发生变化后,生成 DOM 树更新补丁的方式。它通过对比新旧两株虚拟 DOM 树的变更差异,将更新补丁作用于真实 DOM,以最小成本完成视图更新

具体的流程是这样的:

  • 真实 DOM 与虚拟 DOM 之间存在一个映射关系。这个映射关系依靠初始化时的 JSX 建立完成;
  • 当虚拟 DOM 发生变化后,就会根据差距计算生成 patch,这个 patch 是一个结构化的数据,内容包含了增加、更新、移除等;
  • 最后再根据 patch 去更新真实的 DOM,反馈到用户的界面上。

在回答有何不同之前,首先需要说明下什么是 diff 算法。

  • diff 算法是指生成更新补丁的方式,主要应用于虚拟 DOM 树变化后,更新真实 DOM。所以 diff 算法一定存在这样一个过程:触发更新 → 生成补丁 → 应用补丁
  • React 的 diff 算法,触发更新的时机主要在 state 变化与 hooks 调用之后。此时触发虚拟 DOM 树变更遍历,采用了深度优先遍历算法。但传统的遍历方式,效率较低。为了优化效率,使用了分治的方式。将单一节点比对转化为了 3 种类型节点的比对,分别是树、组件及元素,以此提升效率。
    • 树比对:由于网页视图中较少有跨层级节点移动,两株虚拟 DOM 树只对同一层次的节点进行比较。
    • 组件比对:如果组件是同一类型,则进行树比对,如果不是,则直接放入到补丁中。
    • 元素比对:主要发生在同层级中,通过标记节点操作生成补丁,节点操作对应真实的 DOM 剪裁操作。同一层级的子节点,可以通过标记 key 的方式进行列表对比。
  • 以上是经典的 React diff 算法内容。自 React 16 起,引入了 Fiber 架构。为了使整个更新过程可随时暂停恢复,节点与树分别采用了 FiberNode 与 FiberTree 进行重构fiberNode 使用了双链表的结构,可以直接找到兄弟节点与子节点
  • 然后拿 Vue 和 Preact 与 React 的 diff 算法进行对比
    • PreactDiff 算法相较于 React,整体设计思路相似,但最底层的元素采用了真实 DOM 对比操作,也没有采用 Fiber 设计。Vue 的 Diff 算法整体也与 React 相似,同样未实现 Fiber 设计
  • 然后进行横向比较,React 拥有完整的 Diff 算法策略,且拥有随时中断更新的时间切片能力,在大批量节点更新的极端情况下,拥有更友好的交互体验。
  • Preact 可以在一些对性能要求不高,仅需要渲染框架的简单场景下应用。
  • Vue 的整体 diff 策略与 React 对齐,虽然缺乏时间切片能力,但这并不意味着 Vue 的性能更差,因为在 Vue 3 初期引入过,后期因为收益不高移除掉了。除了高帧率动画,在 Vue 中其他的场景几乎都可以使用防抖和节流去提高响应性能。

**学习原理的目的就是应用。那如何根据 React diff 算法原理优化代码呢?**这个问题其实按优化方式逆向回答即可。

  • 根据 diff 算法的设计原则,应尽量避免跨层级节点移动。
  • 通过设置唯一 key 进行优化,尽量减少组件层级深度。因为过深的层级会加深遍历深度,带来性能问题。
  • 设置 shouldComponentUpdate 或者 React.pureComponet 减少 diff 次数。

网络劫持有哪几种,如何防范?

⽹络劫持分为两种:

(1)DNS劫持: (输⼊京东被强制跳转到淘宝这就属于dns劫持)

  • DNS强制解析: 通过修改运营商的本地DNS记录,来引导⽤户流量到缓存服务器
  • 302跳转的⽅式: 通过监控⽹络出⼝的流量,分析判断哪些内容是可以进⾏劫持处理的,再对劫持的内存发起302跳转的回复,引导⽤户获取内容

(2)HTTP劫持: (访问⾕歌但是⼀直有贪玩蓝⽉的⼴告),由于http明⽂传输,运营商会修改你的http响应内容(即加⼴告)

DNS劫持由于涉嫌违法,已经被监管起来,现在很少会有DNS劫持,⽽http劫持依然⾮常盛⾏,最有效的办法就是全站HTTPS,将HTTP加密,这使得运营商⽆法获取明⽂,就⽆法劫持你的响应内容。

前端进阶面试题详细解答

代码输出结果

Promise.resolve().then(() => {
  console.log('promise1');
  const timer2 = setTimeout(() => {
    console.log('timer2')
  }, 0)
});
const timer1 = setTimeout(() => {
  console.log('timer1')
  Promise.resolve().then(() => {
    console.log('promise2')
  })
}, 0)
console.log('start');

输出结果如下:

start
promise1
timer1
promise2
timer2

代码执行过程如下:

  1. 首先,Promise.resolve().then是一个微任务,加入微任务队列
  2. 执行timer1,它是一个宏任务,加入宏任务队列
  3. 继续执行下面的同步代码,打印出start
  4. 这样第一轮宏任务就执行完了,开始执行微任务Promise.resolve().then,打印出promise1
  5. 遇到timer2,它是一个宏任务,将其加入宏任务队列,此时宏任务队列有两个任务,分别是timer1timer2
  6. 这样第一轮微任务就执行完了,开始执行第二轮宏任务,首先执行定时器timer1,打印timer1
  7. 遇到Promise.resolve().then,它是一个微任务,加入微任务队列
  8. 开始执行微任务队列中的任务,打印promise2
  9. 最后执行宏任务timer2定时器,打印出timer2

代码输出结果

function Foo(){
    Foo.a = function(){
        console.log(1);
    }
    this.a = function(){
        console.log(2)
    }
}

Foo.prototype.a = function(){
    console.log(3);
}

Foo.a = function(){
    console.log(4);
}

Foo.a();
let obj = new Foo();
obj.a();
Foo.a();

输出结果:4 2 1

解析:

  1. Foo.a() 这个是调用 Foo 函数的静态方法 a,虽然 Foo 中有优先级更高的属性方法 a,但 Foo 此时没有被调用,所以此时输出 Foo 的静态方法 a 的结果:4
  2. let obj = new Foo(); 使用了 new 方法调用了函数,返回了函数实例对象,此时 Foo 函数内部的属性方法初始化,原型链建立。
  3. obj.a() ; 调用 obj 实例上的方法 a,该实例上目前有两个 a 方法:一个是内部属性方法,另一个是原型上的方法。当这两者都存在时,首先查找 ownProperty ,如果没有才去原型链上找,所以调用实例上的 a 输出:2
  4. Foo.a() ; 根据第2步可知 Foo 函数内部的属性方法已初始化,覆盖了同名的静态方法,所以输出:1

代码输出结果

var F = function() {};
Object.prototype.a = function() {
  console.log('a');
};
Function.prototype.b = function() {
  console.log('b');
}
var f = new F();
f.a();
f.b();
F.a();
F.b()

输出结果:

a
Uncaught TypeError: f.b is not a function
a
b

解析:

  1. f 并不是 Function 的实例,因为它本来就不是构造函数,调用的是 Function 原型链上的相关属性和方法,只能访问到 Object 原型链。所以 f.a() 输出 a ,而 f.b() 就报错了。
  2. F 是个构造函数,而 F 是构造函数 Function 的一个实例。因为 F instanceof Object === true,F instanceof Function === true,由此可以得出结论:F 是 Object 和 Function 两个的实例,即 F 能访问到 a, 也能访问到 b。所以 F.a() 输出 a ,F.b() 输出 b。

说说Vue原理

Vue是采用数据劫持配合发布者-订阅者模式,通过Object.defineProperty来()来劫持各个属性的getter和setter
在数据发生变化的时候,发布消息给依赖收集器,去通知观察者,做出对应的回调函数去更新视图。

具体就是:
MVVM作为绑定的入口,整合Observe,Compil和Watcher三者,通过Observe来监听model的变化
通过Compil来解析编译模版指令,最终利用Watcher搭起Observe和Compil之前的通信桥梁
从而达到数据变化 => 更新视图,视图交互变化(input) => 数据model变更的双向绑定效果。

setTimeout(fn, 0)多久才执行,Event Loop

setTimeout 按照顺序放到队列里面,然后等待函数调用栈清空之后才开始执行,而这些操作进入队列的顺序,则由设定的延迟时间来决定

首屏和白屏时间如何计算

首屏时间的计算,可以由 Native WebView 提供的类似 onload 的方法实现,在 ios 下对应的是 webViewDidFinishLoad,在 android 下对应的是onPageFinished事件。

白屏的定义有多种。可以认为“没有任何内容”是白屏,可以认为“网络或服务异常”是白屏,可以认为“数据加载中”是白屏,可以认为“图片加载不出来”是白屏。场景不同,白屏的计算方式就不相同。

方法1:当页面的元素数小于x时,则认为页面白屏。比如“没有任何内容”,可以获取页面的DOM节点数,判断DOM节点数少于某个阈值X,则认为白屏。 方法2:当页面出现业务定义的错误码时,则认为是白屏。比如“网络或服务异常”。 方法3:当页面出现业务定义的特征值时,则认为是白屏。比如“数据加载中”。

代码输出结果

Promise.resolve().then(() => {
  return new Error('error!!!')
}).then(res => {
  console.log("then: ", res)
}).catch(err => {
  console.log("catch: ", err)
})

输出结果如下:

"then: " "Error: error!!!"

返回任意一个非 promise 的值都会被包裹成 promise 对象,因此这里的return new Error('error!!!')也被包裹成了return Promise.resolve(new Error('error!!!')),因此它会被then捕获而不是catch。

CDN的作用

CDN一般会用来托管Web资源(包括文本、图片和脚本等),可供下载的资源(媒体文件、软件、文档等),应用程序(门户网站等)。使用CDN来加速这些资源的访问。

(1)在性能方面,引入CDN的作用在于:

  • 用户收到的内容来自最近的数据中心,延迟更低,内容加载更快
  • 部分资源请求分配给了CDN,减少了服务器的负载

(2)在安全方面,CDN有助于防御DDoS、MITM等网络攻击:

  • 针对DDoS:通过监控分析异常流量,限制其请求频率
  • 针对MITM:从源服务器到 CDN 节点到 ISP(Internet Service Provider),全链路 HTTPS 通信

除此之外,CDN作为一种基础的云服务,同样具有资源托管、按需扩展(能够应对流量高峰)等方面的优势。

行内元素有哪些?块级元素有哪些? 空(void)元素有那些?

  • 行内元素有:a b span img input select strong
  • 块级元素有:div ul ol li dl dt dd h1 h2 h3 h4 h5 h6 p

空元素,即没有内容的HTML元素。空元素是在开始标签中关闭的,也就是空元素没有闭合标签:

  • 常见的有:<br><hr><img><input><link><meta>
  • 鲜见的有:<area><base><col><colgroup><command><embed><keygen><param><source><track><wbr>

对JSON的理解

JSON 是一种基于文本的轻量级的数据交换格式。它可以被任何的编程语言读取和作为数据格式来传递。

在项目开发中,使用 JSON 作为前后端数据交换的方式。在前端通过将一个符合 JSON 格式的数据结构序列化为 JSON 字符串,然后将它传递到后端,后端通过 JSON 格式的字符串解析后生成对应的数据结构,以此来实现前后端数据的一个传递。

因为 JSON 的语法是基于 js 的,因此很容易将 JSON 和 js 中的对象弄混,但是应该注意的是 JSON 和 js 中的对象不是一回事,JSON 中对象格式更加严格,比如说在 JSON 中属性值不能为函数,不能出现 NaN 这样的属性值等,因此大多数的 js 对象是不符合 JSON 对象的格式的。

在 js 中提供了两个函数来实现 js 数据结构和 JSON 格式的转换处理,

  • JSON.stringify 函数,通过传入一个符合 JSON 格式的数据结构,将其转换为一个 JSON 字符串。如果传入的数据结构不符合 JSON 格式,那么在序列化的时候会对这些值进行对应的特殊处理,使其符合规范。在前端向后端发送数据时,可以调用这个函数将数据对象转化为 JSON 格式的字符串。
  • JSON.parse() 函数,这个函数用来将 JSON 格式的字符串转换为一个 js 数据结构,如果传入的字符串不是标准的 JSON 格式的字符串的话,将会抛出错误。当从后端接收到 JSON 格式的字符串时,可以通过这个方法来将其解析为一个 js 数据结构,以此来进行数据的访问。

setTimeout 模拟 setInterval

描述:使用setTimeout模拟实现setInterval的功能。

实现

const mySetInterval(fn, time) {
    let timer = null;
    const interval = () => {
        timer = setTimeout(() => {
            fn();  // time 时间之后会执行真正的函数fn
            interval();  // 同时再次调用interval本身
        }, time)
    }
    interval();  // 开始执行
    // 返回用于关闭定时器的函数
    return () => clearTimeout(timer);
}

// 测试
const cancel = mySetInterval(() => console.log(1), 400);
setTimeout(() => {
    cancel();
}, 1000);  
// 打印两次1

原型链

原型链实际上在上面原型的问题中就有涉及到,在原型的继承中,我们继承来多个原型,这里再提一下实现完美
继承的方案,通过借助寄生组合继承,PersonB.prototype = Object.create(PersonA.prototype)
这是当我们实例化PersonB得到实例化对象,访问实例化对象的属性时会触发get方法,它会先在自身属性上查
找,如果没有这个属性,就会去__proto__中查找,一层层向上直到查找到顶层对象Object,这个查找的过程
就是原型链来。

扩展运算符的作用及使用场景

(1)对象扩展运算符

对象的扩展运算符(...)用于取出参数对象中的所有可遍历属性,拷贝到当前对象之中。

let bar = { a: 1, b: 2 };
let baz = { ...bar }; // { a: 1, b: 2 }

上述方法实际上等价于:

let bar = { a: 1, b: 2 };
let baz = Object.assign({}, bar); // { a: 1, b: 2 }

Object.assign方法用于对象的合并,将源对象(source)的所有可枚举属性,复制到目标对象(target)Object.assign方法的第一个参数是目标对象,后面的参数都是源对象。(如果目标对象与源对象有同名属性,或多个源对象有同名属性,则后面的属性会覆盖前面的属性)。

同样,如果用户自定义的属性,放在扩展运算符后面,则扩展运算符内部的同名属性会被覆盖掉。

let bar = {a: 1, b: 2};
let baz = {...bar, ...{a:2, b: 4}};  // {a: 2, b: 4}

利用上述特性就可以很方便的修改对象的部分属性。在redux中的reducer函数规定必须是一个纯函数reducer中的state对象要求不能直接修改,可以通过扩展运算符把修改路径的对象都复制一遍,然后产生一个新的对象返回。

需要注意:扩展运算符对对象实例的拷贝属于浅拷贝

(2)数组扩展运算符

数组的扩展运算符可以将一个数组转为用逗号分隔的参数序列,且每次只能展开一层数组。

console.log(...[1, 2, 3])
// 1 2 3
console.log(...[1, [2, 3, 4], 5])
// 1 [2, 3, 4] 5

下面是数组的扩展运算符的应用:

  • 将数组转换为参数序列
function add(x, y) {
  return x + y;
}
const numbers = [1, 2];
add(...numbers) // 3

  • 复制数组
const arr1 = [1, 2];
const arr2 = [...arr1];

要记住:扩展运算符(…)用于取出参数对象中的所有可遍历属性,拷贝到当前对象之中,这里参数对象是个数组,数组里面的所有对象都是基础数据类型,将所有基础数据类型重新拷贝到新的数组中。

  • 合并数组

如果想在数组内合并数组,可以这样:

const arr1 = ['two', 'three'];const arr2 = ['one', ...arr1, 'four', 'five'];// ["one", "two", "three", "four", "five"]

  • 扩展运算符与解构赋值结合起来,用于生成数组
const [first, ...rest] = [1, 2, 3, 4, 5];first // 1rest  // [2, 3, 4, 5]

需要注意:如果将扩展运算符用于数组赋值,只能放在参数的最后一位,否则会报错。

const [...rest, last] = [1, 2, 3, 4, 5];         // 报错const [first, ...rest, last] = [1, 2, 3, 4, 5];  // 报错

  • 将字符串转为真正的数组
[...'hello']    // [ "h", "e", "l", "l", "o" ]

  • 任何 Iterator 接口的对象,都可以用扩展运算符转为真正的数组

比较常见的应用是可以将某些数据结构转为数组:

// arguments对象
function foo() {
  const args = [...arguments];
}

用于替换es5中的Array.prototype.slice.call(arguments)写法。

  • 使用Math函数获取数组中特定的值
const numbers = [9, 4, 7, 1];
Math.min(...numbers); // 1
Math.max(...numbers); // 9

对对象与数组的解构的理解

解构是 ES6 提供的一种新的提取数据的模式,这种模式能够从对象或数组里有针对性地拿到想要的数值。 1)数组的解构 在解构数组时,以元素的位置为匹配条件来提取想要的数据的:

const [a, b, c] = [1, 2, 3]

最终,a、b、c分别被赋予了数组第0、1、2个索引位的值:

数组里的0、1、2索引位的元素值,精准地被映射到了左侧的第0、1、2个变量里去,这就是数组解构的工作模式。还可以通过给左侧变量数组设置空占位的方式,实现对数组中某几个元素的精准提取:

const [a,,c] = [1,2,3]

通过把中间位留空,可以顺利地把数组第一位和最后一位的值赋给 a、c 两个变量:

2)对象的解构 对象解构比数组结构稍微复杂一些,也更显强大。在解构对象时,是以属性的名称为匹配条件,来提取想要的数据的。现在定义一个对象:

const stu = {
  name: 'Bob',
  age: 24
}

假如想要解构它的两个自有属性,可以这样:

const { name, age } = stu

这样就得到了 name 和 age 两个和 stu 平级的变量:

注意,对象解构严格以属性名作为定位依据,所以就算调换了 name 和 age 的位置,结果也是一样的:

const { age, name } = stu

什么是 DOM 和 BOM?

  • DOM 指的是文档对象模型,它指的是把文档当做一个对象,这个对象主要定义了处理网页内容的方法和接口。
  • BOM 指的是浏览器对象模型,它指的是把浏览器当做一个对象来对待,这个对象主要定义了与浏览器进行交互的法和接口。BOM的核心是 window,而 window 对象具有双重角色,它既是通过 js 访问浏览器窗口的一个接口,又是一个 Global(全局)对象。这意味着在网页中定义的任何对象,变量和函数,都作为全局对象的一个属性或者方法存在。window 对象含有 location 对象、navigator 对象、screen 对象等子对象,并且 DOM 的最根本的对象 document 对象也是 BOM 的 window 对象的子对象。

对作用域、作用域链的理解

1)全局作用域和函数作用域

(1)全局作用域

  • 最外层函数和最外层函数外面定义的变量拥有全局作用域
  • 所有未定义直接赋值的变量自动声明为全局作用域
  • 所有window对象的属性拥有全局作用域
  • 全局作用域有很大的弊端,过多的全局作用域变量会污染全局命名空间,容易引起命名冲突。

(2)函数作用域

  • 函数作用域声明在函数内部的变零,一般只有固定的代码片段可以访问到
  • 作用域是分层的,内层作用域可以访问外层作用域,反之不行
2)块级作用域
  • 使用ES6中新增的let和const指令可以声明块级作用域,块级作用域可以在函数中创建也可以在一个代码块中的创建(由{ }包裹的代码片段)
  • let和const声明的变量不会有变量提升,也不可以重复声明
  • 在循环中比较适合绑定块级作用域,这样就可以把声明的计数器变量限制在循环内部。

作用域链: 在当前作用域中查找所需变量,但是该作用域没有这个变量,那这个变量就是自由变量。如果在自己作用域找不到该变量就去父级作用域查找,依次向上级作用域查找,直到访问到window对象就被终止,这一层层的关系就是作用域链。

作用域链的作用是保证对执行环境有权访问的所有变量和函数的有序访问,通过作用域链,可以访问到外层环境的变量和函数。

作用域链的本质上是一个指向变量对象的指针列表。变量对象是一个包含了执行环境中所有变量和函数的对象。作用域链的前端始终都是当前执行上下文的变量对象。全局执行上下文的变量对象(也就是全局对象)始终是作用域链的最后一个对象。

当查找一个变量时,如果当前执行环境中没有找到,可以沿着作用域链向后查找。

常用的正则表达式有哪些?

// (1)匹配 16 进制颜色值
var regex = /#([0-9a-fA-F]{6}|[0-9a-fA-F]{3})/g;

// (2)匹配日期,如 yyyy-mm-dd 格式
var regex = /^[0-9]{4}-(0[1-9]|1[0-2])-(0[1-9]|[12][0-9]|3[01])$/;

// (3)匹配 qq 号
var regex = /^[1-9][0-9]{4,10}$/g;

// (4)手机号码正则
var regex = /^1[34578]\d{9}$/g;

// (5)用户名正则
var regex = /^[a-zA-Z\$][a-zA-Z0-9_\$]{4,16}$/;

什么是尾调用,使用尾调用有什么好处?

尾调用指的是函数的最后一步调用另一个函数。代码执行是基于执行栈的,所以当在一个函数里调用另一个函数时,会保留当前的执行上下文,然后再新建另外一个执行上下文加入栈中。使用尾调用的话,因为已经是函数的最后一步,所以这时可以不必再保留当前的执行上下文,从而节省了内存,这就是尾调用优化。但是 ES6 的尾调用优化只在严格模式下开启,正常模式是无效的。