leetcode 105. Construct Binary Tree from Preorder and Inorder Traversal 从前序与中序遍历

67 阅读1分钟

一、题目大意

给定两个整数数组 preorder 和 inorder ,其中 preorder 是二叉树的先序遍历, inorder 是同一棵树的中序遍历,请构造二叉树并返回其根节点。

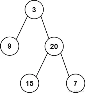
示例 1:

image.png

输入: preorder = [3,9,20,15,7], inorder = [9,3,15,20,7] 输出: [3,9,20,null,null,15,7]

示例 2:

输入: preorder = [-1], inorder = [-1] 输出: [-1]

提示:

  • 1 <= preorder.length <= 3000
  • inorder.length == preorder.length
  • -3000 <= preorder[i], inorder[i] <= 3000
  • preorder 和 inorder 均 无重复 元素
  • inorder 均出现在 preorder
  • preorder 保证 为二叉树的前序遍历序列
  • inorder 保证 为二叉树的中序遍历序列

来源:力扣(LeetCode) 链接:leetcode.cn/problems/co… 著作权归领扣网络所有。商业转载请联系官方授权,非商业转载请注明出处。

二、解题思路

本题要求用先序和中序遍历来建立二叉树,由于先序的顺序的第一个肯定是根,所以原二叉树的根节点可以知道,题目中给了一个很关键的条件就是树中没有相同元素,有了这个条件就可以在中序遍历中也定位出根邛的位置,并以根节点的位置将中序遍历拆分为左右两个部分,分别对其递归调用原函数。

三、解题方法

3.1 Java实现

class Solution {
    public TreeNode buildTree(int[] preorder, int[] inorder) {
        if (preorder.length == 0) {
            return null;
        }
        Map<Integer, Integer> hash = new HashMap<>();
        for (int i = 0; i < preorder.length; i++) {
            hash.put(inorder[i], i);
        }
        return buildTreeHelper(hash, preorder, 0, preorder.length - 1, 0);
    }

    TreeNode buildTreeHelper(Map<Integer, Integer> hash, int[] preorder, int s0, int e0, int s1) {
        if (s0 > e0) {
            return null;
        }
        int mid = preorder[s1];
        int index = hash.get(mid);
        int leftLen = index - s0 - 1;
        TreeNode node = new TreeNode(mid);
        node.left = buildTreeHelper(hash, preorder, s0, index - 1, s1 + 1);
        node.right = buildTreeHelper(hash, preorder, index + 1, e0, s1 + 2 + leftLen);
        return node;
    }
}

四、总结小记

  • 2022/9/22 到了上有老下有小的中年人,有些责任必须去承担,有些问题必须去面对