数据结构之双向链表

108 阅读2分钟

我正在参加「掘金·启航计划」

学习内容:

  •  了解双向链表和单向链表的区别
  •  了解双向链表的优缺点
  •  了解双向链表的运用场景
  •  C# 中双向链表的实现

双向链表和单向链表的区别:

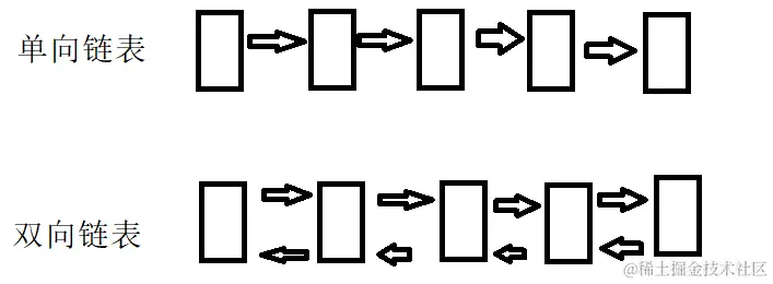
如下图:

image.png

区别如下:

  1. 单向链表只能next ,双向链表可以return。
  2. 单向链表只有一个指向下一结点的指针,双向链表除了有一个指向下一结点的指针外,还有一个指向前一结点的指针。
  3. 单链表只能单向读取,双向链表可以通过prev()快速找到前一结点。

双向链表的优缺点:

优点:

  1. 可以找到前驱和后继,可进可退;

缺点:

  1. 增加删除节点复杂,需要多分配一个指针存储空间

双向链表的运用场景:

系统开发时缓存的LRU算法就是双向链表的运用场景之一

C# 中双向链表的实现

模型

/// <summary>
    /// 双向链表节点
    /// </summary>
    /// <typeparam name="T"></typeparam>
    public class BdNode<T>
    {
        public T Data { set; get; }
        public BdNode<T> Next { set; get; } 
        public BdNode<T> Prev { set; get; } 
        public BdNode(T val, BdNode<T> prev, BdNode<T> next)
        {
            this.Data = val;
            this.Prev = prev;
            this.Next = next;
        }
    }

操作代码

public class DoubleLink<T>
    {
        //表头
        private readonly BdNode<T> _linkHead;
        //节点个数
        private int _size;
        public DoubleLink()
        {
            _linkHead = new BdNode<T>(default(T), null, null);//双向链表 表头为空
            _linkHead.Prev = _linkHead;
            _linkHead.Next = _linkHead;
            _size = 0;
        }
        public int GetSize() => _size;
        public bool IsEmpty() => (_size == 0);
        //通过索引查找
        private BdNode<T> GetNode(int index)
        {
            if (index < 0 || index >= _size)
                throw new IndexOutOfRangeException("索引溢出或者链表为空");
            if (index < _size / 2)//正向查找
            {
                BdNode<T> node = _linkHead.Next;
                for (int i = 0; i < index; i++)
                    node = node.Next;
                return node;
            }
            //反向查找
            BdNode<T> rnode = _linkHead.Prev;
            int rindex = _size - index - 1;
            for (int i = 0; i < rindex; i++)
                rnode = rnode.Prev;
            return rnode;
        }
        public T Get(int index) => GetNode(index).Data;
        public T GetFirst() => GetNode(0).Data;
        public T GetLast() => GetNode(_size - 1).Data;
        // 将节点插入到第index位置之前
        public void Insert(int index, T t)
        {
            if (_size < 1 || index >= _size)
                throw new Exception("没有可插入的点或者索引溢出了");
            if (index == 0)
                Append(_size, t);
            else
            {
                BdNode<T> inode = GetNode(index);
                BdNode<T> tnode = new BdNode<T>(t, inode.Prev, inode);
                inode.Prev.Next = tnode;
                inode.Prev = tnode;
                _size++;
            }
        }
        //追加到index位置之后
        public void Append(int index, T t)
        {
            BdNode<T> inode;
            if (index == 0)
                inode = _linkHead;
            else
            {
                index = index - 1;
                if (index < 0)
                    throw new IndexOutOfRangeException("位置不存在");
                inode = GetNode(index);
            }
            BdNode<T> tnode = new BdNode<T>(t, inode, inode.Next);
            inode.Next.Prev = tnode;
            inode.Next = tnode;
            _size++;
        }
        public void Del(int index)
        {
            BdNode<T> inode = GetNode(index);
            inode.Prev.Next = inode.Next;
            inode.Next.Prev = inode.Prev;
            _size--;
        }
        public void DelFirst() => Del(0);
        public void DelLast() => Del(_size - 1); 
        public void ShowAll()
        {
            Console.WriteLine("******************* 链表数据如下 *******************");
            for (int i = 0; i < _size; i++)
                Console.WriteLine("(" + i + ")=" + Get(i));
            Console.WriteLine("******************* 链表数据展示完毕 *******************\n");
        }
    }

调用方法

DoubleLink<int> dlink = new DoubleLink<int>();// 创建双向链表
            Console.WriteLine("将 20 插入到表头之后");
            dlink.Append(0, 10);   
            dlink.ShowAll();
            Console.WriteLine("将 40 插入到表头之后");
            dlink.Append(1, 30);   
            dlink.ShowAll();
            Console.WriteLine("将 10 插入到表头之前");
            dlink.Insert(0, 40);  
            dlink.ShowAll();
            Console.WriteLine("将 30 插入到第一个位置之前");
            dlink.Insert(1, 20);     
            dlink.ShowAll();
            Console.WriteLine("展示第一个:" + dlink.GetFirst()); 
            Console.WriteLine("删除第一个");
            dlink.DelFirst();
            Console.WriteLine("展示第一个:" + dlink.GetFirst());
            Console.WriteLine("展示最后一个:" + dlink.GetLast());
            Console.WriteLine("删除最后一个");
            dlink.DelLast();
            Console.WriteLine("展示最后一个:" + dlink.GetLast());
            dlink.ShowAll();
            Console.ReadKey();