数据结构-图

56 阅读1分钟

本文已参与「新人创作礼」活动,一起开启掘金创作之路。

深度优先遍历

拓扑排序

在一个表示工程的有向图中,用顶点表示活动,用弧表示活动之间的优先关系,这样的有向图为顶点表示活动的网,我们称为AOV网(Activity On VertexNetwork)。

在这里插入图片描述

拓扑排序算法

就是选择网中入度为0的订点放入栈,然后取出顶点并删除以此顶点为尾的弧,就会有其他的订单的入度减少,在选择入度为0的放入栈,重复这些操作,直到输出全部顶点或者AOV网中不存在入度为0的订单为止。

在这里插入图片描述

查找

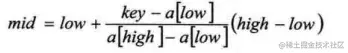
插值查找

插值查找是二分查找的改进。 将二分查找中的取中间值操作改成和查找数据有关的公式 在这里插入图片描述在这里插入图片描述

插值查找是根据要查找的关键字key与查找表中最大最小记录的关键字比较后的查找方法,其核心就在于插值的计算公式key - a[low] / a[high] - a[low]。从时间复杂度来说,他也是logn,但对于表长较大,而关键字分布又比较均匀的查找表来说,插值查找算法的平均性能比二分查找要好得多。