NR小区搜索(一) SSB

875 阅读8分钟

NR中,由于信道带宽可能非常大,如果UE按照channel Raster进行同步信号搜索,需要的时间很长,且非常耗电;因而NR引入了Synchronization raster的概念,同步信号按照同步Raster放置。
ARFCN 频点号对应Channel Raster GSCN(Global Synchronization Channel Number)频点号对应同步Raster
如38.104中所述:

1.png

如上图0100GHZ 对应03279165 个ARFCN,3GPP 将0~100GHZ 的频率范围划分成了3个区间,并给出了ARFCN和RF频率之间的转换关系式。NREF对应的就是NR ARFCN,RF 的参考频率就是FREF,两者的转换关系就是FREF = FREF-Offs + ΔFGlobal x ( NREF- NREF-Offs)。举个例子,NR ARFCN(NREF)= 600 000在区间B中(FREF-Offs为3000 MHz,NREF-Offs为600 000),FREF为3000 000 + 15 x ( 600 000 – 600 000) = 3000 000 kHz,即3GHz。

下图示38.101-1 FR1  FR2 ARFCN UL/DL 对应情况 2.png

3.png

4.png

5.png

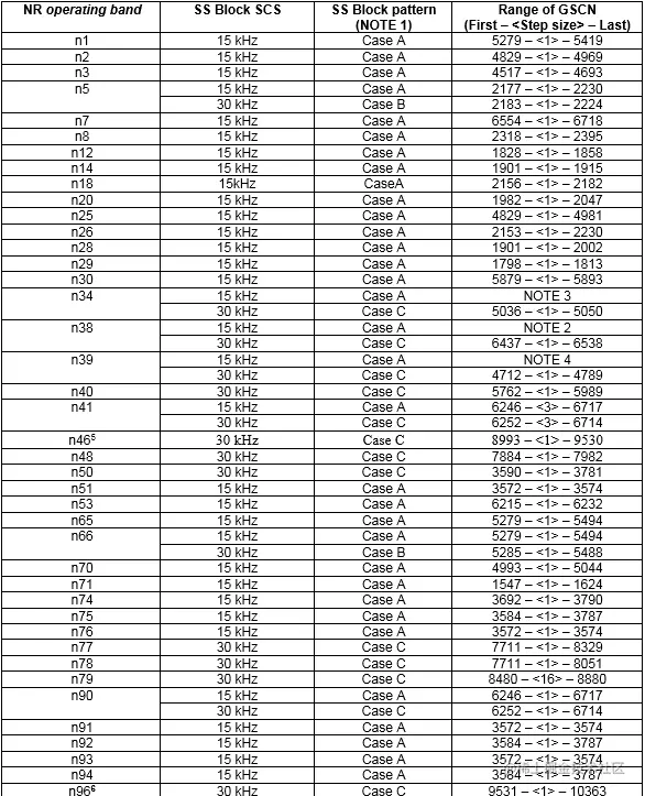
相似的,可用GSCN描述各个频带的同步信道。如下表以n77为例,第一个GSCN为7711,属于第二个区间,根据公式可得实际频率:SSREF = 3000 + ( 7711 - 7499 ) x 1.44 MHz = 3305.28 MHz;最后一个GSCN为8329,SSREF = 3000 + ( 8329 - 7499 ) x 1.44 MHz = 4195.2 MHz。对于第一个区间0~3000MHZ 的GSCN  虽然有N 和M 两个未知数,但是其取值是确定的N=1:2499 M={1,3,5};如果GSCN 确定的话,很容易可以试出N 和M值,进而代入公式可以知道GSCN 对应的频率。 6.png

7.png

8.png

以第一区间0~3000MHZ为例,N=100,M=1,3,5 及N=101,M=1,3,5时 GSCN 与频率间的对应图如下,由公式也可以看出实际上N的频率变化稍大,而M是在N确定后进行的3小步频率上的微调,进而确定的GSCN与实际频率间的映射关系。

9.png

SSB(SS/PBCH block )

10.png NR中,PSS/SS 和PBCH 块 总是绑定的,因此也称为SSB block。UE在GSCN频点上,要搜索的就是SSB block 。一个SSB block,在时域上一共占用4个符号(time indices l=0~3);在频域上分布在连续的240个子载波(20个RB);频域由下往上,第121个SC(k = 120)的中心频率,就是SSB的GSCN对应的SSREF(同步参考频率)。另外由上表可知对于PBCH,l = 1和l = 3占用240个SC,l = 2只占用两侧各48个SC。根据上表得到的时频域分布样式如下:

11.png

12.png SSB子载波间隔由频段范围决定:6GHZ 以下(FR1) scs支持15或30kHz,6GHZ以上(FR2)支持120或240khz.UE 首先要搜索PSS 主同步信号,UE从PSS获知N_ID_(2),从SSS获知N_ID_(1),则小区ID(PCI,Physical Cell Identifier):N_cell_ID = 3 x N_ID_(1) + N_ID_(2)。由N_(2)ID取值范围为{ 0 , 1 , 2 },N(1)_ID取值范围为{ 0 , 1 , …  335 },NR共有336 x 3 = 1008个N_cell_ID,取值范围为{ 0 , 1 , … , 1007 }。对于FR1大部分频带只支持一种SSB SCS,UE确定了频带,就同时知道了SSB SCS。但也有部分频带n5/n41/n66/n90支持两种SSB SCS(15 kHz和30 kHz),UE需要用两种SCS分别进行盲检,以确定小区的SSB SCS。FR2 n257/258/259/260/261 都支持120/240khz,这时就只能分别试试一遍确定SCS。下面分别介绍下SSB 中的PSS/SSS/PBCH。

PSS

13.png PSS和SSS分别是主同步信号和辅同步信号,PSS和SSS对应的序列在38.211 中有介绍,基本上是相对确定的,UE可以比较容易的检测出来。NR 的PSS是长度为127的伪随机序列(BPSK M序列),频域上占用127个SC。如上图初始值x(6)、x(5)、x(4)、x(3)、x(2)、x(1)、x(0)分别为1、1、1、0、1、1、0,之后通过x( i+7 ) = ( x( i+4 )+x( i ) ) mod 2递推得到初始序列 x(n)。由m=(n+43*N_ID_(2))mod 127可以看出,之后再通过N_ID_(2)对初始序列进行循环移位处理得到最后的PSS 序列。至此搜到PSS后,UE就可以确定SSB 的子载波间隔和N_ID_(2)。

SSS

14.png

SSS也是长度为127的伪随机序列(占用127个SC)。区别是SSS需要两个多项式分别生成两个初始序列,然后在循环移位时分别加入N_ID_(1)和N_ID_(2)。相似的,SSS输出序列也是相对确定的,此时N_ID_(1)已知,根据N_ID_(2)的不同取值,UE就可以成功检出SSS。至此UE就知道了Cell ID N_cell_ID,下一步要解调PBCH信道。

PBCH

15.png

16.png

17.png

要解调PBCH信道,要先确定PBCH 信道和DM-RS频域位置。在频域上,各个DM-RS间隔4个SC,初始偏移v由N_cell_ID确定(v = N_cell_ID mod 4)。由上表可知在l = 1和l = 3处,DM-RS在频域上的位置为k = 0 + v,4 + v,…,236 + v;在l = 2处,位置为k = 0 + v,4 + v,…,44 + v,192 + v,196 + v,…,236 + v。以v=1为例,PBCH DMRS在频域子载波的分布情况如下

18.png SSB patterns  38.213 4.1

19.png 从时域上看,SSB在一个SSB burst周期半帧5ms内,根据pattern的不同可以发送多次,最大发送次数记为L;SSB 是与波束关联的,不同的SSB波束在空间发送就完成了小区的覆盖。 协议定义了5种SSB Pattern(SSB分布样式):在FR1中,可用Case A、Case B和Case C,在FR2中,可用Case D和Case E。对于特定的SSB Pattern,各个SSB占用的时域资源是固定的。具体分布情况如下

CASE A:

20.png 在5ms周期内,SSB 的第一个符号索引为: <=3G HZ 时,{2,8,16,22}最大发送次数L =4      (2个时隙  每个时隙有2个SSB  共4个SSB) 3G~6GHZ 之间时,{2,8,16,22,30,36,44,50} 最大发送次数L=8  (4个时隙  每个时隙有2个SSB  共8个SSB) 21.png CASE B: 22.png

在5ms周期内,SSB 的第一个符号索引为

<=3G HZ {4,8,16,20}  L=4

3G HZ~6G HZ   {4,8,16,20,32,36,40,44}  L=8

23.png CASE C:

24.png 分不同的情况

operation without shared spectrum channel access 1 paired spectrum operation 在5ms周期内,SSB 的第一个符号索引为 <=3G HZ 时,{2,8,16,22}最大发送次数L =4      (2个时隙  每个时隙有2个SSB  共4个SSB) 3G~6GHZ 之间时,{2,8,16,22,30,36,44,50} 最大发送次数L=8  (4个时隙  每个时隙有2个SSB  共8个SSB)

2 unpaired spectrum operation 在5ms周期内,SSB 的第一个符号索引为 <=1.88 G HZ 时,{2,8,16,22}最大发送次数L =4      (2个时隙  每个时隙有2个SSB  共4个SSB) 1.88G~6GHZ 之间时,{2,8,16,22,30,36,44,50} 最大发送次数L=8  (4个时隙  每个时隙有2个SSB  共8个SSB)

operation with shared spectrum channel access

在5ms周期内,SSB 的第一个符号索引为  {2,8,16,22,30,38,44,50,58,64,72,78,86,92,100,106,114,120,128,132}  L=20

以paired spectrum opeartion 为例

25.png

CASE D:

26.png case D 是FR 2 的情况 {4,8,16,20 .......... 506} 最大发送次数 L=64 27.png CASE E:

28.png case E 也是FR 2 的情况 {8,12,16,20 .......... 492} 最大发送次数 L=64

对于5种case,SSB 周期内发送的最大个数L=4/8/64,每个SSB的索引从0到L-1,UE要从PBCH 块中获取当前SSB块索引信息,才能得到空口的完整下行Timing。

协议中规定:

--对于L=4,用2 bits表示SSB块索引 --对于L=8,用3 bits表示SSB块索引 --对于L=64,用6 bits表示SSB块索引 UE 解调PBCH成功后,才能得到SSB块的索引 对于大多 数频段来说,协议规定了唯一的默认SSB子载波间限,同时也规定了唯一的默认SSB模式。 38.104  Table 5.4.3.3-1  5.4.3.3-2

29.png

30.png 如之前的pattern与SSB 的映射关系图,在不同的SSB Pattern 中,SSB Index和SSB一一对应的。例如在Case A中,在子帧1的l = 2 ~ 5发送的第3个SSB,SSB INDEX就是2。SSB Index需要UE通过PBCH的DMRS,结合PBCH payload 获得。在5ms周期内,不同位置的SSB,PBCH携带的MIB相同,但包含的DMRS可能不同(PBCH DMRS序列需要ssb index信息参与,不同的index 产生的序列可能不同)。

PBCH 信道内容MIB

31.png RRC层的MIB中没有SSB index 的相关信息,其主要是在PBCH信道物理层处理时,通过额外编码信息bit处理得到,如38.212中的相关描述 物理层会增加额外8个bits用于时频域参数的确定。 38.212

32.png

33.png 38.211

34.png

35.png

36.png PBCH 额外编码其他作用如下:1、如果L为4或8,a(A+5)为kssb(SSB和CRB_SSB的偏移SC数量)的最高位,此时a(A+6)和a(A+7)reserved;2、a(A+4)为半帧标识(half frame),指示SSB在前半帧还是后半帧;L=4时也要用其确定SSB index.3、a(A)、a(A+1)、a(A+2)、a(A+3)指示SSB所在帧的SFN(System Frame Number)的低4位,而MIB中的SystemFrameNumber表示SFN的高6位,正好构成完整的SFN(10位)。UE获得了SSB index后,结合SSB Pattern,就可以获得完整的下行timing。 微信更新比掘金多些内容,如有需要欢迎关注同名“modem协议笔记”。

微信同步帖子