leetcode 637. Average of Levels in Binary Tree 二叉树的层平均值(简单)

75 阅读1分钟

一、题目大意

给定一个非空二叉树的根节点 root , 以数组的形式返回每一层节点的平均值。与实际答案相差 10-5 以内的答案可以被接受。

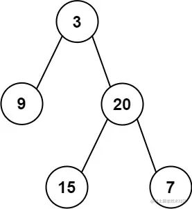
示例 1:

image.png

输入:root = [3,9,20,null,null,15,7] 输出:[3.00000,14.50000,11.00000] 解释:第 0 层的平均值为 3,第 1 层的平均值为 14.5,第 2 层的平均值为 11 。 因此返回 [3, 14.5, 11] 。

示例 2:

image.png

输入:root = [3,9,20,15,7] 输出:[3.00000,14.50000,11.00000]

提示:

  • 树中节点数量在 [1, 104] 范围内

  • -231 <= Node.val <= 231 - 1

来源:力扣(LeetCode) 链接:leetcode.cn/problems/av… 著作权归领扣网络所有。商业转载请联系官方授权,非商业转载请注明出处。

二、解题思路

求一个二叉树每层的平均值,利用广度优先搜索,我们可以很方便地求取每层的平均值。直接使用queue,直接将每层的值累计加起来除以该层的节点个数,存入结果ans中即可。

三、解题方法

3.1 Java实现

/**
 * Definition for a binary tree node.
 * public class TreeNode {
 *     int val;
 *     TreeNode left;
 *     TreeNode right;
 *     TreeNode() {}
 *     TreeNode(int val) { this.val = val; }
 *     TreeNode(int val, TreeNode left, TreeNode right) {
 *         this.val = val;
 *         this.left = left;
 *         this.right = right;
 *     }
 * }
 */
class Solution {
    public List<Double> averageOfLevels(TreeNode root) {
        List<Double> ans = new ArrayList<>();
        if (root == null) {
            return ans;
        }
        Queue<TreeNode> q = new LinkedList<>();
        q.add(root);
        while (!q.isEmpty()) {
            int count = q.size();
            double sum = 0;
            for (int i = 0; i < count; i++) {
                TreeNode node = q.peek();
                q.poll();
                sum += node.val;
                if (node.left != null) {
                    q.add(node.left);
                }
                if (node.right != null) {
                    q.add(node.right);
                }
            }
            ans.add(sum / count);
        }
        return ans;
    }
}

四、总结小记

  • 2022/9/15 notion是pld的典范,什么是PLG,product-led groupth。