算法基础(二)| 高精度算法详解

891 阅读4分钟

我报名参加金石计划1期挑战——瓜分10万奖池,这是我的第7篇文章,点击查看活动详情

算法基础(二)| 高精度算法详解

⭐写在前面的话:本系列文章旨在复习算法刷题中常用的基础算法与数据结构,配以详细的图例解释,总结相应的代码模板,同时结合例题以达到最佳的学习效果。本专栏面向算法零基础但有一定的C++基础的学习者。若C++基础不牢固,可参考:10min快速回顾C++语法,进行语法复习。

🔥本文已收录于算法基础系列专栏: 算法基础教程 免费订阅,持续更新。

image.png

高精度加法

适用于c++,java和python没有这个问题,因为java有大整数类,python自带,默认数是无限大。

分类:

  • A + B 数量级10^6
  • A - B 数量级10^6
  • A * a 数量级A ≤10^6,a ≤ 10000
  • A / a 数量级A ≤10^6,a ≤ 10000

大整数的存储

实际上是把长数字的每一位存储到数组当中,并且是倒序存储。

image.png

倒序存储的原因:

在数组中,如果顺序存储,在产生进位时,在数组头部a[0]前添加元素非常不方便,需要将后面元素依次后移。而如果倒序存储,则直接可以添加进位数字。

计算过程

先看一下我们如何进行常见加法:

image-20220911115327631

接下来我们将它进行抽象

image-20220911115352984

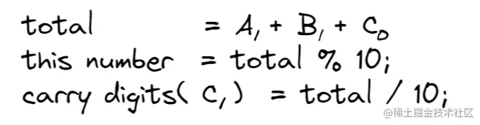
针对其中的一位,我们列以下式子:

image.png

例题:高精度加法

给定两个正整数(不含前导 0),计算它们的和。

输入格式

共两行,每行包含一个整数。

输出格式

共一行,包含所求的和。

数据范围

1≤整数长度≤100000

12
23

输出样例:

35

算法模板

#include <iostream>
#include <vector>
​
using namespace std;
//函数是算数组表示的整数A和数组表示的整数B
vector<int> add(vector<int> &A, vector<int> &B)
{
    if (A.size() < B.size()) return add(B, A);
​
    vector<int> C;
    int t = 0;//进位
    for (int i = 0; i < A.size(); i ++ )
    {
        t += A[i];
        if (i < B.size()) t += B[i];
        C.push_back(t % 10);
        t /= 10;
    }
​
    //最后看最高位有没有1,若是1的话就压入
    if (t) C.push_back(t);
    return C;
}
​
int main()
{
    string a, b;
    vector<int> A, B;
    cin >> a >> b;
    for (int i = a.size() - 1; i >= 0; i -- ) A.push_back(a[i] - '0');
    for (int i = b.size() - 1; i >= 0; i -- ) B.push_back(b[i] - '0');
​
    auto C = add(A, B);
​
    for (int i = C.size() - 1; i >= 0; i -- ) cout << C[i];
    cout << endl;
​
    return 0;
}

模板说明

该模板采用了递归调用

vector<int> add(vector<int> &A, vector<int> &B)
{
    if (A.size() < B.size()) return add(B, A);
​
    vector<int> C;
    int t = 0;//进位
    for (int i = 0; i < A.size(); i ++ )
    {
        t += A[i];
        if (i < B.size()) t += B[i];
        C.push_back(t % 10);
        t /= 10;
    }
    //最后看最高位有没有1,若是1的话就压入
    if (t) C.push_back(t);
    return C;
}

此模板也可以换种写法

vector<int> add(vector<int> &A, vector<int> &B)
{
​
    vector<int> C;
    int t = 0;//进位
    for (int i = 0; i < A.size() || i < B.size(); i ++ )
    {
        if (i < A.size()) t += A[i];
        if (i < B.size()) t += B[i];
        C.push_back(t % 10);
        t /= 10;
    }
    //最后看最高位有没有1,若是1的话就压入
    if (t) C.push_back(t);
    return C;
}

高精度减法

整数的存储同上

计算过程

这里以下式为例

image-20220911132646580

再次把它抽象一下,形成一下形式

image-20220911133800828

由此我们可以列出以下式子

首先判断A 与 B的关系,如果A 大于B,则正常加减,否则就计算其差的负数。

image-20220911134113852

然后分别判断每一位的大小,并且计算是否需要进位。

image-20220911134506979

例题:高精度减法

给定两个正整数(不含前导 0),计算它们的差,计算结果可能为负数。

输入格式

共两行,每行包含一个整数。

输出格式

共一行,包含所求的差。

数据范围

1≤整数长度≤10^5

输入样例:

32
11

输出样例:

21

算法模板

#include <iostream>
#include <vector>
​
using namespace std;
​
//判断是否有AB
bool cmp(vector<int> &A, vector<int> &B)
{
    //首先判断两个数的位数大小
    if (A.size() != B.size()) return A.size() > B.size();
​
    for (int i = A.size() - 1; i >= 0; i -- )
        if (A[i] != B[i])
            return A[i] > B[i];
​
    return true;
}
​
vector<int> sub(vector<int> &A, vector<int> &B)
{
    vector<int> C;
    for (int i = 0, t = 0; i < A.size(); i ++ )
    {
        t = A[i] - t;
        //首先要判断以下B[i]是否存在
        if (i < B.size()) t -= B[i];
        //这里的(t + 10) % 10,如果t是0-9,则会抵消,如果t是小于0,则相当于是 +10 借位。
        C.push_back((t + 10) % 10);
        //t小于0,表示需要借位,因此标记为1
        if (t < 0) t = 1;
        else t = 0;
    }
    //删除前导0
    while (C.size() > 1 && C.back() == 0) C.pop_back();
    return C;
}
​
int main()
{
    string a, b;
    vector<int> A, B;
    cin >> a >> b;
    for (int i = a.size() - 1; i >= 0; i -- ) A.push_back(a[i] - '0');
    for (int i = b.size() - 1; i >= 0; i -- ) B.push_back(b[i] - '0');
​
    vector<int> C;
​
    if (cmp(A, B)) C = sub(A, B);
    else C = sub(B, A), cout << '-';
​
    for (int i = C.size() - 1; i >= 0; i -- ) cout << C[i];
    cout << endl;
​
    return 0;
}

高精度乘法

存储与上相同。

计算过程

这里先列出计算式的通式

image-20220911154058993

与常见的计算相似,每一位分别考虑进位和取余当前的数字

当前位:C_0 = (A_0 * B_1 B_0 + t) % 10

进位:t = (A_0 * B_1 B_0) / 10

注意:这里是把B看成一个整体,而不是和一般的乘法一样。这样b方便计算,同时也方便存储(直接存为int就行)。

例题:高精度减法

给定两个正整数(不含前导 0),计算它们的差,计算结果可能为负数。

输入格式

共两行,每行包含一个整数。

输出格式

共一行,包含所求的差。

数据范围

1≤整数长度≤10^5

输入样例:

32
11

输出样例:

21

算法模板

#include <iostream>
#include <vector>using namespace std;
​
​
vector<int> mul(vector<int> &A, int b)
{
    vector<int> C;
​
    //进位
    int t = 0;
    for (int i = 0; i < A.size() || t; i ++ )
    {
        if (i < A.size()) t += A[i] * b;
        C.push_back(t % 10);
        t /= 10;
    }
​
    while (C.size() > 1 && C.back() == 0) C.pop_back();
​
    return C;
}
​
​
int main()
{
    string a;
    int b;
​
    cin >> a >> b;
​
    vector<int> A;
    for (int i = a.size() - 1; i >= 0; i -- ) A.push_back(a[i] - '0');
​
    auto C = mul(A, b);
​
    for (int i = C.size() - 1; i >= 0; i -- ) printf("%d", C[i]);
​
    return 0;
}

高精度除法

计算过程

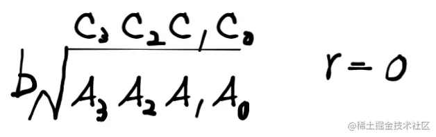
高精度除法的通式如下:

image-20220911165652347

仿照求解除法的过程,可以设计高精度除法算法如下:

最开始余数r为0

  • r = r *10 + A _3
  • C_3 = (r *10 + A _3) / b ;
  • r = r % b

例题:高精度除法

给定两个非负整数(不含前导 0) A,B,请你计算 A/B 的商和余数。

输入格式

共两行,第一行包含整数 A,第二行包含整数 B。

输出格式

共两行,第一行输出所求的商,第二行输出所求余数。

数据范围

1≤A的长度≤100000 1≤B≤10000 B 一定不为 0

输入样例:

7
2

输出样例:

3
1

算法模板

#include<bits/stdc++.h>
using namespace std;
​
vector<int> div(vector<int> &A, int b, int &r)
{
    vector<int> C;
    r = 0;
    //这里r为余数
​
    for(int i = A.size() - 1; i >= 0; i--)
    {
        //余数*10加下一位,输出本位数字为r/b,接着继续取余r
        r = r *10 + A[i];
        C.push_back(r / b);
        r %= b;
    }
    //由于除法存储是由高到低顺序的,但是通用输出是由低位到高位逆序的,因此这里reverse一下。
    reverse(C.begin(), C.end());
    
    while (C.size() > 1 && C.back() == 0) C.pop_back();
    return C;
}
​
​
int main()
{
    string a;
    int b;
    
    cin >> a >> b;
    vector<int> A;
    for(int i = a.size() - 1; i >= 0; i--) A.push_back(a[i] - '0');
    
    int r;
    auto C = div(A, b,r);
    for(int i = C.size() -1 ; i >= 0; i--)printf("%d",C[i]);
    
    cout << endl << r << endl;
    return 0;
    
}