量化金融 板块 6 - 6 - 伦敦银行同业拆借利率市场模型

371 阅读1分钟

量化金融 板块 6 - 6 - 伦敦银行同业拆借利率市场模型

欢迎点赞,收藏~更多量化课程持续更新ing

在板块6 - 6中,您将学习收益率曲线的市场观,收益率曲线离散化, 标准 Libor 市场模型动态,数量和措施,波动,因素减少,波动性和相关性的参数化,校准到欧洲掉期,使用预测校正方案的长时间步长,百慕大互换,百慕大互换行使域,百慕大互换练习边界参数化,百慕大蒙特卡罗算法。

在板块 6 - 6 学习结束时,您将能够

  • 同业现金存款利率
  • 政府债券回购利率(这是英格兰银行设定利率的方式)
  • 利率期货。 这些是在交易所交易的等价于远期利率协议 (FRA)。
  • 掉期利率(通常由经纪服务报价)

1. 伦敦银行同业拆借利率市场模型

image.png

image.png

image.png

2. 收益率曲线的市场化观点

image.png

image.png

3. 收益曲线离散化

image.png

image.png

image.png

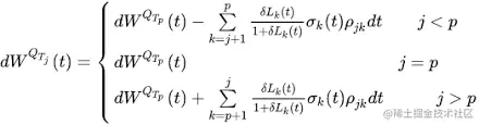
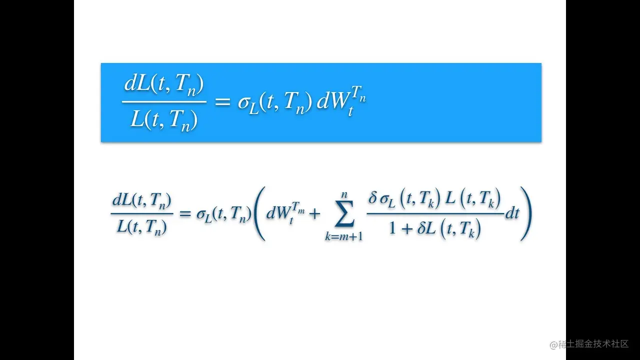
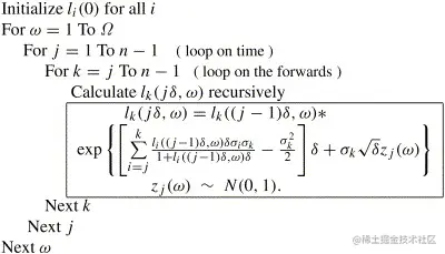
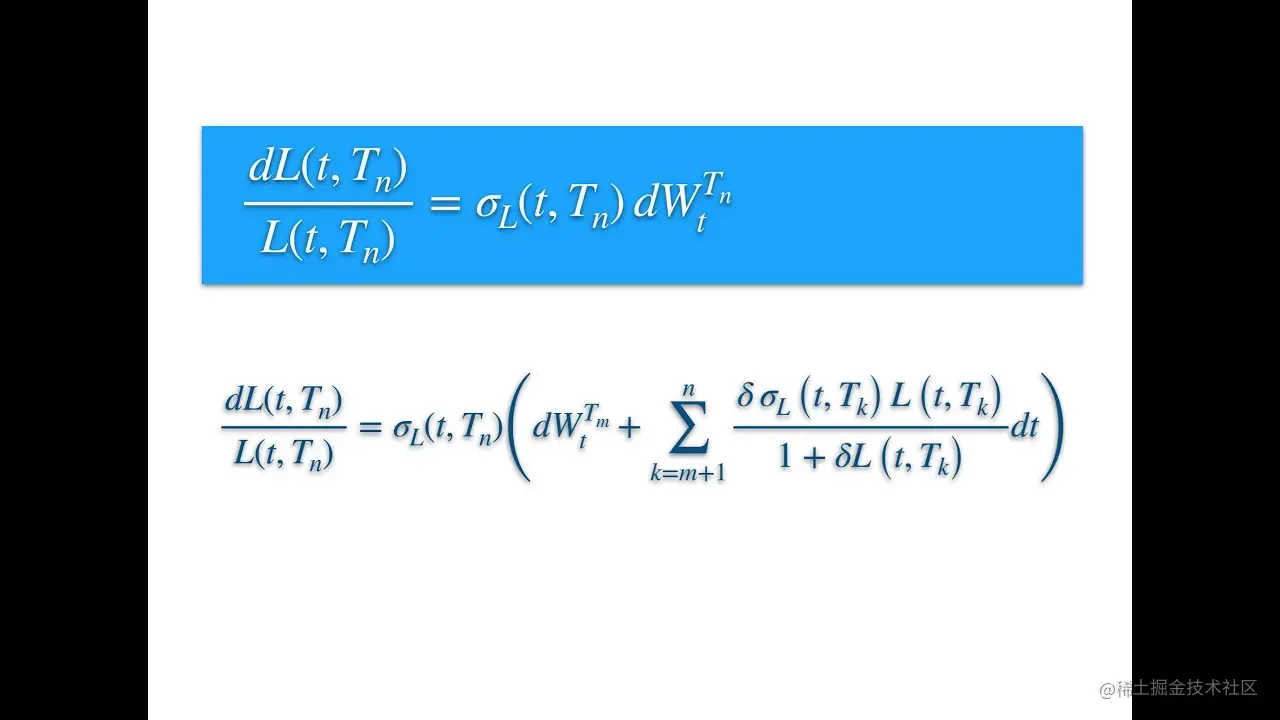
4. 标准伦敦银行同业拆借利率市场模型动态

image.png

image.png

5. 数值测量

image.png

image.png

6. 波动

image.png

7. 归约因子

image.png

image.png