【软件设计师中级】 错题知识点 - 1

897 阅读6分钟

一、计算机组成与体系结构

CPU的组成(运算器与控制器)

*指令寄存器(IR)*用来保存当前正在执行的指令。 当执行一条指令时,先把它从内存取到数据寄存器(DR)中,然后再传送至IR。为了执行任何给定的指令,必须对操作码进行测试,以便识别所要求的操作。指令译码器(ID)就是做这项工作的。指令寄存器中操作码字段的输出就是指令译码器的输入。操作码一经译码后,即可向操作控制器发出具体操作的特定信号。

*地址寄存器(AR)*用来保存当前CPU所访问的内存单元的地址。由于在内存和CPU之间存在着操作速度上的差别,所以必须使用地址寄存器来保持地址信息,直到内存的读/写操作完成为止。

为了保证程序指令能够连续地执行下去,CPU必须具有某些手段来确定下一条指令的地址。而程序计数器正起到这种作用,所以通常又称为指令计数器。

码制(原码/反码/补码/移码)

  1. 某机器字长为n,最高位是符号位,其定点整数的最大值为(  )。

86136c935fc74d6db0f3d0ab365d95a9_.png

最大值为n-1位(符号位)为0(正数),从n-2到0位都为1,值为

微信截图_20220915102335.png

层次化存储体系

  1. BIOS(Basic Input Output System)(基本输入输出系统)

是一组固化到计算机内主板上一个ROM芯片上的程序,它保存着计算机最重要的基本输入输出的程序、开机后自检程序和系统自启动程序,它可从CMOS中读写系统设置的具体信息。

数据结构与算法基础

排序

归并排序采用的算法设计方法属于(分治法  )

二、程序设计语言

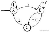
有限自动机

6bce0fcc43584edc9e9c8dd7c21a014f_.png

解题:将选项中的路径代入,若可以从初始状态到达终止状态,则说明该字符串能被题目中的自动机识别。

三、系统开发基础

软件开发方法

面向对象开发方法有Booch方法、Coad方法和OMT方法。

Jackson方法是一种面向数据结构的开发方法

开发模型

RUP

  1. 初启阶段:结束时产生一个构想文档、一个有关用例模型的调查、一个初始的业务用例、一个早期的风险评估和一个可以显示阶段和迭代的项目计划等制品;

  2. 精化阶段:结束时产生一个补充需求分析、一个软件架构描述和一个可执行的架构原型等制品;

  3. 构建阶段:结束时的成果是一个准备交到最终用户手中的产品,包括具有最初运作能力的在适当的平台上集成的软件产品、用户手册和对当前版本的描述;

  4. 移交阶段:结束时产生移交给用户产品发布版本。

软件开发模型

  1. 瀑布模型:严格遵循软件生命周期各阶段的固定顺序,一个阶段完成再进入另一个阶段。其优点是可以使过程比较规范化,有利于评审;缺点在于过于理想,缺乏灵活性,容易产生需求偏差。属于结构化模型。

  2. 原型模型:主要用于获取用户需求。属于原型开发模型。

  3. 螺旋模型:结合了瀑布模型和演化模型的优点,最主要的特点在于加入了风险分析。它是由制定计划、风险分析、实施工程、客户评估这一循环组成的,它最初从概念项目开始第一个螺旋。属于面向对象开发模型,强调风险引入。

  4. 喷泉模型:主要用于描述面向对象的开发过程,以用户需求为动力,以对象为驱动,最核心的特点是迭代。所有的开发活动没有明显的边界,允许各种开发活动交叉进行。本题选择D选项。

软件维护类型

(1)改正性维护。为了识别和纠正软件错误、改正软件性能上的缺陷、排除实施中的误使用,应当进行的诊断和改正错误的过程就称为改正性维护。

(2)适应性维护。在使用过程中,外部环境(新的硬、软件配置)、数据环境(数据库、数据格式、数据输入/输出方式、数据存储介质)可能发生变化。为使软件适应这种变化,而去修改软件的过程就称为适应性维护。

(3)完善性维护。在软件的使用过程中,用户往往会对软件提出新的功能与性能要求。为了满足这些要求,需要修改或再开发软件,以扩充软件功能、增强软件性能、改进加工效率、提高软件的可维护性。这种情况下进行的维护活动称为完善性维护。

(4)预防性维护。这是指预先提高软件的可维护性、可靠性等,为以后进一步改进软件打下良好基础。通常,预防性维护可定义为“把今天的方法学用于昨天的系统以满足明天的需要”。也就是说,采用先进的软件工程方法对需要维护的软件或软件中的某一部分(重新)进行设计、编码和测试。

数据流图与数据字典

  1. 数据字典

是指对数据的数据项、数据结构、数据流、数据存储、处理逻辑、外部实体等进行定义和描述

其条目有数据流、数据项、数据存储、基本加工等。

四、项目管理

配置管理

软件配置管理是一组管理整个软件生存期各阶段中变更的活动,主要包括变更标识、变更控制和版本控制。

五、面向对象技术

UML图

hqNJmGaJL8.png

面向对象设计原则

  1. 单一职责原则:设计目的单一的类。

  2. 开放-封闭原则:对扩展开放,对修改封闭。

  3. 里氏替换原则:子类可以替换父类。

  4. 依赖倒置原则:要依赖于抽象,而不是具体实现;针对接口编程,不要针对实现编程。

  5. 接口隔离原则:使用多个专门的接口比使用单一的总接口要好。不强迫客户依赖于他们不用的方法,即:依赖于抽象,不要依赖于具体,同时在抽象级别不应该有对于细节的依赖。

六、操作系统

PV操作

在PV操作中,信号量用于表示系统中现有资源的数量,当信号量值为负数时,代表这类资源系统已经分配完毕。此时,对负数取绝对值能得到当前等待进程数量。