LeetCode 每日一题——17. 电话号码的字母组合

128 阅读2分钟

1.题目描述

17. 电话号码的字母组合

给定一个仅包含数字 2-9 的字符串,返回所有它能表示的字母组合。答案可以按 任意顺序 返回。

给出数字到字母的映射如下(与电话按键相同)。注意 1 不对应任何字母。

 

示例 1:

输入:digits = "23"
输出:["ad","ae","af","bd","be","bf","cd","ce","cf"]

示例 2:

输入:digits = ""
输出:[]

示例 3:

输入:digits = "2"
输出:["a","b","c"]

 

2.解题思路与代码

2.1 解题思路

这道题可以使用递归来完成,定义一个当前所指向数字的索引 index,然后根据这个索引 index 获取数字所对应的字母,使用一个 StringBuilder 存放这些字母,然后通过递归函数以继续处理往 index+1 操作,最后当 index 超过给定 digits 长度时表示当前这一组字母组合完毕,将 StringBuilder 内容放入结果数组中,然后返回。返回之后需要清除 StringBuilder 中当前加入的字母,即删除 StringBuilder 最后一个字母。

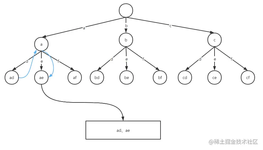
以 “23” 为例,首先我们从 2 开始,2 包含了字母 abc,因此在 2 这一级有 a、b、c 三个字母。首先我们从字母 a 开始,将字母 a 放入到 StringBuilder 中,然后继续往下处理到数字 3,数字 3 有 d、e、f 三个字母,那么首先将 d 追加到 StringBuilder 中,继续往 index+1 处理,此时 index 超过字符串长度,将 StringBuilder 中的 ad 放入结果列表中。

image.png

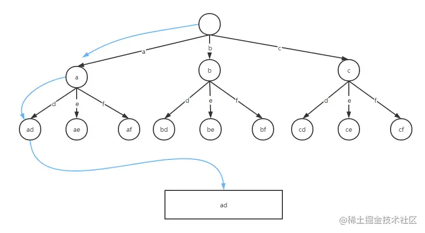
然后从 StringBuilder 中移除最后一位字母 d,返回到上一级继续向下处理,此时将字母 e 追加到 StringBuilder 中,此时 index+1 超过字符串长度,因此将字符串 ae 放入结果数组当中。之后继续重复上面的这一系列操作,便能够得到所有字母组合的结果列表。

image.png

2.2 代码

class Solution {
    // 使用 Map 存放数字和数字对应字母数组的关系
    private Map<Integer, char[]> map;
    List<String> list = new ArrayList<>();

    public Solution() {
        map = new HashMap<>();
        char[] two = {'a', 'b', 'c'};
        char[] three = {'d', 'e', 'f'};
        char[] four = {'g', 'h', 'i'};
        char[] five = {'j', 'k', 'l'};
        char[] six = {'m', 'n', 'o'};
        char[] seven = {'p', 'q', 'r', 's'};
        char[] eight = {'t', 'u', 'v'};
        char[] nine = {'w', 'x', 'y', 'z'};
        map.put(2, two);
        map.put(3, three);
        map.put(4, four);
        map.put(5, five);
        map.put(6, six);
        map.put(7, seven);
        map.put(8, eight);
        map.put(9, nine);
    }

    public List<String> letterCombinations(String digits) {
        if ("".equals(digits)){
            return list;
        }
        process(0,digits,new StringBuilder());
        return list;
    }

    public void process(int index, String digits, StringBuilder builder) {
        if (index == digits.length()) {
            list.add(builder.toString());
            return;
        }
        int num = Integer.parseInt(String.valueOf(digits.charAt(index)));
        char[] chars = map.get(num);
        for (int i = 0; i < chars.length; i++) {
            builder.append(chars[i]);
            process(index + 1, digits, builder);
            builder.delete(builder.length() - 1, builder.length());
        }
    }
}

2.3 测试结果

通过测试

image.png

3.总结

  • 使用 Map 存放数字和字母列表的关系
  • 使用递归组装字符串,并且在退出方法时需要删除 StringBuilder 中最后一个字母