arxiv.org/abs/1611.01…
End-to-end Optimized Image Compression
这篇论文基于非线性变换提出了一个端到端优化的图像压缩框架。
一般非线性变换编码框架
工作流程如下:
(1) 通过参数为ϕ \boldsymbol{\phi} ϕ 的可微函数(analysis 变换)g a ( ⋅ ) g_a(\cdot) g a ( ⋅ ) 将图像向量x ∈ R N \boldsymbol{x}\in \mathbb{R}^N x ∈ R N 变换到潜在码空间(latent code space)得到码域向量y = g a ( x , ϕ ) \boldsymbol{y}=g_a(\boldsymbol{x},\boldsymbol{\phi}) y = g a ( x , ϕ ) 。
(2) 对变换后的y \boldsymbol{y} y 进行量化,得到待压缩的离散值向量q ∈ R N \boldsymbol{q}\in \mathbb{R}^N q ∈ R N 。编码的码率(rate)R R R 将以量化向量q \boldsymbol{q} q 的离散概率分布P q P_q P q 的熵H [ P q ] H[P_q] H [ P q ] 作为下界。
(3) 为了重建压缩图像,将q \boldsymbol{q} q 的离散元素重新解释(reinterpreted)为连续值向量y ^ \hat{\boldsymbol{y}} y ^ 。然后通过参数为θ \boldsymbol{\theta} θ 的可微函数(synthesis变换)g s ( ⋅ ) g_s(\cdot) g s ( ⋅ ) 将y ^ \hat{\boldsymbol{y}} y ^ 变换回数据域(data space)得到重建图像x ^ = g s ( y ^ , θ ) \hat{\boldsymbol{x}}=g_s(\hat{\boldsymbol{y}},\boldsymbol{\theta}) x ^ = g s ( y ^ , θ )
(4) 失真(distortion)D D D 通过使用(固定)变换z = g p ( x ) \boldsymbol{z}=g_p(\boldsymbol{x}) z = g p ( x ) 和z ^ = g p ( x ^ ) \hat{\boldsymbol{z}}=g_p(\hat{\boldsymbol{x}}) z ^ = g p ( x ^ ) 变换到感知空间(perceptual space),并用评估度量d ( z , z ^ ) d(\boldsymbol{z},\hat{\boldsymbol{z}}) d ( z , z ^ ) 来评估失真。
(5) 一组图像上rate和distortion度量的加权和D + λ R D+\lambda R D + λ R 将用于优化参数向量φ \boldsymbol{φ} φ 和θ \boldsymbol{θ} θ ,其中λ λ λ 为率的权重。
端到端优化的非线性变换编码
分析变换
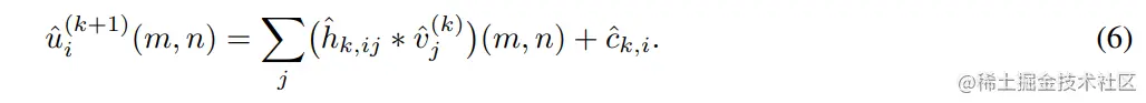
分析变换g a g_a g a 有三个阶段,每个阶段由卷积、下采样和Generalized divisive normalization (GDN)(arxiv.org/abs/1511.06… )组成。将第k k k 阶段在空间位置( m , n ) (m, n) ( m , n ) 的第i i i 个输入通道表示为u i ( k ) ( m , n ) u^{(k)}_i(m, n) u i ( k ) ( m , n ) ,则输入图像向量x \boldsymbol{x} x 对应于u i ( 0 ) ( m , n ) u^{(0)}_i(m, n) u i ( 0 ) ( m , n ) ;输出向量y \boldsymbol{y} y 对应于u i ( 3 ) ( m , n ) u^{(3)}_i(m, n) u i ( 3 ) ( m , n ) 。
每一阶段都以仿射卷积开始:
其中∗ * ∗ 表示卷积,随后是下采样:
其中s k s_k s k 为第k k k 阶段的下采样因子。
最后是GDN操作:
h 、 c 、 β h、c、β h 、 c 、 β 和γ γ γ 参数构成待优化的参数向量φ \boldsymbol{φ} φ 。
合成变换
类似地,合成变换g s g_s g s 有三个阶段,每个阶段由IGDN、上采样和卷积组成。设u ^ i ( k ) ( m , n ) \hat{u}^{(k)}_i(m, n) u ^ i ( k ) ( m , n ) 为第k k k 个合成阶段的输入,则y ^ \hat{\boldsymbol{y}} y ^ 对应于u ^ i ( 0 ) ( m , n ) \hat{u}^{(0)}_i(m, n) u ^ i ( 0 ) ( m , n ) ;x ^ \hat{\boldsymbol{x}} x ^ 对应于u ^ i ( 3 ) ( m , n ) \hat{u}^{(3)}_i(m, n) u ^ i ( 3 ) ( m , n ) 。
首先,是逆GDN(IGDN)操作:
然后是上采样:
其中s ^ k \hat{s}_k s ^ k 为第k k k 阶段的下采样因子。
最后是仿射卷积:
参数h ^ 、 c ^ 、 β ^ \hat{h}、\hat{c}、\hat{β} h ^ 、 c ^ 、 β ^ 和γ ^ \hat{γ} γ ^ 构成待优化的参数向量θ \boldsymbol{\theta} θ 。
注意,下采样/上采样操作可以与其相邻的卷积一起实现,从而提高计算效率
感知变换
arxiv.org/abs/1607.05… 使用Normalized Laplacian pyramid (NLP)进行变换。这里仅使用恒等变换,并使用MSE作为度量,即d ( z , z ^ ) = ∥ z − z ^ ∥ 2 2 d(\boldsymbol{z}, \hat{\boldsymbol{z}})=\|\boldsymbol{z}-\hat{\boldsymbol{z}}\|_{2}^{2} d ( z , z ^ ) = ∥ z − z ^ ∥ 2 2
非线性变换编码模型的优化
直接在图像空间中进行最优量化由于高维性而难以实现,因此作者将图像变换到码空间再用均匀标量量化器量化。通过设计合适的熵编码可以使得实际码率仅略大于量化向量的熵,因此,作者直接用熵定义目标函数:
其中两个期望将通过训练集上的多个图像的平均值来近似。
使用均匀标量量化器进行量化:
round:随机变量四舍五入,一个连续区间(区间大小为1)的随机变量值对应一个整数。
y ^ \boldsymbol{\hat{y}} y ^ 的边缘概率密度p y ^ i p_{\hat{y}_i} p y ^ i 由一系列Dirac delta函数(冲激函数)表示,权重等于q i q_i q i 各个区间内的概率质量函数(如图2):
【图2为 y i y_i y i (码空间元素)、y ^ i \hat{y}_i y ^ i (量化元素)和y ~ i \tilde{y}_i y ~ i (受均匀噪声干扰的元素)密度关系的一维图示。p y ^ i p_{\hat{y}_i} p y ^ i 中的每个离散概率等于对应量化bin内密度p y i p_{y_i} p y i 的概率质量(由阴影表示)。密度p y ~ i p_{\tilde{y}_i} p y ~ i 提供了一个连续函数,在整数位置与p y ^ i p_{\hat{y}_i} p y ^ i 的离散概率值相等。】
均匀标量量化器(uniform scalar quantizer)是一个分段常数函数;其导数是不连续的(具体而言,它处处为零或无限),使得梯度下降无效。为了允许通过随机梯度下降进行优化,作者将量化器替换为附加量∆ y ∼ U ( 0 , 1 ) ∆\boldsymbol{y}\sim\mathcal{U}(0,1) ∆ y ∼ U ( 0 , 1 ) (U \mathcal{U} U :均匀分布,0为中心,1为范围)。
替换的可行性:
首先,随机变量y ~ = y + ∆ y \boldsymbol{\tilde{y}}=\boldsymbol{y}+∆\boldsymbol{y} y ~ = y + ∆ y ,则根据Z=X+Y的分布 ,y ~ \boldsymbol{\tilde{y}} y ~ 的密度函数:
p y ~ = p y ∗ U ( 0 , 1 ) p_{\boldsymbol{\tilde{y}}}=p_{\boldsymbol{y}}*\mathcal{U}(0,1) p y ~ = p y ∗ U ( 0 , 1 )
在所有整数位置与q \boldsymbol{q} q 的概率质量函数P q i P_{q_i} P q i 相同:
是q \boldsymbol{q} q 概率质量函数的连续松弛(图2)。这意味着y ~ \boldsymbol{\tilde{y}} y ~ 的微分(连续)熵h [ p y ~ i ] h[p_{\tilde{y}_i}] h [ p y ~ i ] 可以用作q \boldsymbol{q} q 的熵H [ P q i ] H[P_{q_i}] H [ P q i ] 的近似值。
为了减少模型误差,作者假设y ~ \boldsymbol{\tilde{y}} y ~ 的松弛概率模型和熵编码的码空间中的边缘独立【例如:p y ~ ( y ~ ) = ∏ i p y ~ i ( y ~ i ) p_{\tilde{\boldsymbol{y}}}(\tilde{\boldsymbol{y}})=\prod_{i} p_{\tilde{y}_{i}}\left(\tilde{y}_{i}\right) p y ~ ( y ~ ) = ∏ i p y ~ i ( y ~ i ) (log ( ∏ i p y ~ i ( y ~ i ) ) = ∑ i log ( p y ~ i ( y ~ i ) ) \log(\prod_{i} p_{\tilde{y}_{i}}\left(\tilde{y}_{i}\right))=\sum_i\log(p_{\tilde{y}_{i}}\left(\tilde{y}_{i}\right)) log ( ∏ i p y ~ i ( y ~ i ) ) = ∑ i log ( p y ~ i ( y ~ i ) ) 】,并对边缘p y ~ i p_{\boldsymbol{\tilde{y}_i}} p y ~ i 进行非参数建模。具体而言,作者使用精细采样的分段线性函数,并将其更新为一维直方图。更具体地,作者使用每单位间隔10个采样点,将每个边缘p y ~ i p_{\boldsymbol{\tilde{y}_i}} p y ~ i 表示为分段线性函数(即线性样条)。参数向量ψ ( i ) \boldsymbol{\psi}^{(i)} ψ ( i ) 由这些采样点处的p y ~ i p_{\boldsymbol{\tilde{y}_i}} p y ~ i 值组成。使用普通随机梯度下降来最大化期望似然:
并在每个步骤之后重新归一化边缘密度 。在每1 0 6 10^6 1 0 6 个梯度步骤之后,作者使用启发式方法调整样条近似的范围,以覆盖在训练集上获得的y ~ \tilde{y} y ~ 值的范围。
第二,独立均匀噪声经用于近似量化误差(ieeexplore.ieee.org/document/72… )。因此,我们可以使用均匀噪声近似量化的失真。
图4验证了连续松弛为实际量化的率失真值提供了良好的近似值。左图的松弛失真项大部分是无偏的,并且表现出相对较小的方差。松弛熵为较粗(coarser)量化区域的离散熵提供了某种程度的正偏估计,但如预期的那样,对于较精细(finer )量化,偏差消失。
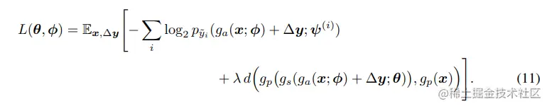
给定量化向量y ^ \boldsymbol{\hat{y}} y ^ 分布的连续近似y ~ \boldsymbol{\tilde{y}} y ~ ,参数θ \boldsymbol{\theta} θ 和ϕ \boldsymbol{\phi} ϕ 的损失函数可以写成:
其中,向量ψ ( i ) \boldsymbol{ψ}^{(i)} ψ ( i ) 参数化p y ~ i p_{\tilde{y}_i} p y ~ i 的分段线性近似(与θ \boldsymbol{\theta} θ 和ϕ \boldsymbol{\phi} ϕ 联合训练)。这是连续和可微的,因此非常适合于随机优化。
与变分生成图像模型的关系
上面从经典的率失真优化问题导出了端到端压缩的优化公式。除此之外,还可以在变分自编码器(VAE)的背景下进行推导。
在贝叶斯变分推理中,给定随机变量x x x 的观测样本集合以及生成模型p x ∣ y ( x ∣ y ) p_{x|y}(x| y) p x ∣ y ( x ∣ y ) 。我们试图找到一个后验p y ∣ x ( y ∣ x ) p_{y|x}(y | x) p y ∣ x ( y ∣ x ) (通常不能用封闭形式表示)。VAE通过最小化q ( y ∣ x ) q(y|x) q ( y ∣ x ) 和p y ∣ x ( y ∣ x ) p_{y|x}(y | x) p y ∣ x ( y ∣ x ) 之间的KL散度,用密度q ( y ∣ x ) q(y|x) q ( y ∣ x ) 近似该后验:
【图3。空心节点表示随机变量;灰色节点表示观测数据;小的黑色节点表示参数;箭头表示依赖关系。框内的节点是按图像计算的。】
如果我们定义生成模型(图3左,高斯分布以g s g_s g s 生成结果为均值)如下:
注: 对于一个单变量随机变量,高斯分布的密度为:
p ( x ; μ , σ 2 ) = 1 2 π σ 2 exp ( − ( x − μ ) 2 2 σ 2 ) p\left(x ; \mu, \sigma^{2}\right)=\frac{1}{\sqrt{2 \pi \sigma^{2}}} \exp \left(-\frac{(x-\mu)^{2}}{2 \sigma^{2}}\right) p ( x ; μ , σ 2 ) = 2 π σ 2 1 exp ( − 2 σ 2 ( x − μ ) 2 )
并且将近似后验建模为均匀分布:
其中U ( y ~ i ; y i , 1 ) \mathcal{U}\left(\tilde{y}_{i} ; y_{i}, 1\right) U ( y ~ i ; y i , 1 ) 是以y i y_i y i 为中心的区间范围为1的均匀密度(y ~ i = y i + U ( 0 , 1 ) \tilde{y}_{i}=y_i+\mathcal{U(0,1)} y ~ i = y i + U ( 0 , 1 ) )。
那么,该目标函数等效于我们的松弛率失真优化问题。KL散度中的第一项是0(q q q 已知);第二项对应于失真(失真度量为MSE),第三项对应于率。
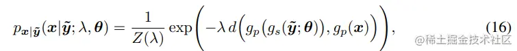
请注意,如果使用感知变换g p g_p g p ,或者度量d d d 不是欧几里得距离,则p x ∣ y ~ p_{x|\tilde{y}} p x ∣ y ~ 不再是高斯分布,而是对应于密度:
其中Z ( λ ) Z(\lambda) Z ( λ ) 归一化密度。这无法保证与变分自动编码器的等价性,因为失真项可能不对应于可归一化的密度。
尽管这个非线性变换编码框架与变分自动编码器的框架相似,但有几个值得注意的基本差异:
首先,变分自编码器对连续值进行操作,而数字压缩则是在量化后离散域中进行。用微分熵的比特率替代离散熵的比特率可能会误导结果。为了能够端到端优化,这篇文章在连续域进行。但根据实验得到,离散与连续的率和失真相差不大。
其次,公式(13)中λ λ λ 是推断的。理想情况下λ λ λ 接近无穷大。而压缩模型必须在率失真曲线的任何给定点上进行,这是由权衡超参数λ \lambda λ 指定:
【左图:率失真权衡。灰色区域表示可以实现的所有率失真值的集合(在所有可能的参数设置上)。给定λ λ λ 选择的最优性能对应于该集的凸壳上的一个点,具有斜率− 1 / λ −1/λ − 1/ λ 】
最后,尽管生成模型的典型松弛项(13)与率失真优化中的失真度量之间的对应关系仅仅适用于简单度量(如欧几里德距离),但从生成建模的角度来看,如果更一般的感知度量有对应的密度函数,则它也可以作为一种特殊的选择。
实验结果
作者将提出的方法与JPEG和JPEG 2000作比较。对于这篇论文提出的方法,所有图像均使用均匀量化进行量化(使用加性噪声的连续松弛仅用于训练目的 )。另外,在推理阶段,作者还基于上下文的自适应二进制算术编码框架(CABAC;Context-Based Adaptive Binary Arithmetic Coding in the H.264/AVC Video Compression Standard,ieeexplore.ieee.org/document/12…