嵌入式硬件技术甲类、乙类、甲乙类功率放大原理-综合

365 阅读4分钟
详细请参考:

1:初级硬件工程师必会的模拟电路之一:功率放大电路
https://blog.csdn.net/weixin_40727233/article/details/104496850

2:关于电路中输入阻抗和输出阻抗大小的讨论
https://blog.csdn.net/weixin_40727233/article/details/105308087

image.png

1 共集放大电路(射极跟随器)

  • 共集放大电路(射极跟随器) image.png

  • 瞬时现象仿真结果 image.png

  • 从电路瞬时现象仿真结果可以看出:

    (1)共集极放大电路的放大倍数为1,又被称为射极跟随器
    (2)只要三极管be导通,“射随”就成立
    (3)射随电路用于连接在两个电路,起到有病治病,无病强身的“缓冲器”的作用

2 甲类功率放大电路

  • 甲类功率放大电路 image.png
  • 输入与输出波形 image.png

2.1 总结(电路在处于稳态时,C1可以看成电池)

  • 电路在处于稳态时,C1可以看成电池。在没有交流信号输入时,Ve的电位为7.7-0.7=7V,即C1两端的电压,因此Re、C1、RL组成的回路,它们的分压关系为 image.png
  • 当输入信号小于Ve+0.7V时,be之间的PN截将截止,于是就发生了截止失真 从左图中可以看出,只要输入信号的瞬时值小于6.7V,就会发生“削底失真”,而对应的输出信号最小为-1V。 从右图中可以看出,只要输入信号的瞬时值小于1.7V,就会发生“削底失真”。
  • Re取值不当,会造成失真;RL与Re是密切相关的,RL越小,Re则也要越小,避免发生失真现象。
  • Re的值不能取过大,过大会造成静态损耗大,在音响系统中,负载阻值往往只有4Ω/8Ω,而Re的取值也必须在这个范围之内,因此,静态功耗就会过大,但是甲类功耗的音质效果较好

3 乙类功率放大电路

  • 在甲类功放电路中,无论有无输入信号,均会有电流从Vcc经Re到GND,为了克服甲类功放静态功耗大的缺点,可以将Re替换成PNP三极管,基本思路为:
  • (1)输入信号为正半周期VT1导通,构成射随跟随器
  • (2)输入信号为负半周期VT2导通,也构成射随跟随器
  • (3)VT1和VT2不会同时导通,所以没有静态功耗 image.png
  • 输入与输出波形变化 image.png
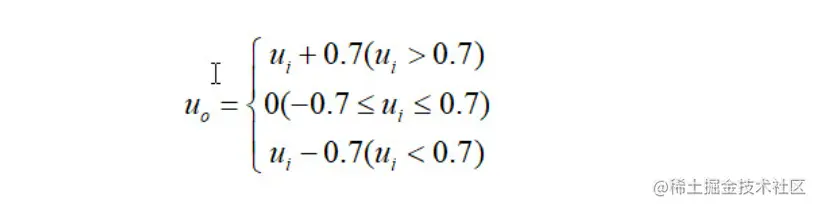
  • 从上图中发现,输出波形VF1出现“交越失真”现象
  • 由于输出VT1和VT2不总是导通,所以输出电压的表达式是非线性的,如下: image.png

3.1 如何消除交越失真(此处主要是二极管压降是固定的,因此B点电压为A+0.7)

  • 如何消除交越失真 image.png
  • 只要VD1和VD2导通,就可以是为0.7V的电池,因此有 image.png
  • 输入与输出波形变化 image.png

3.2 技术注意点

  • VD1和VD2要选择管压降为0.7V的二极管,如1N4007。如果选择肖特基二极管,管压降为0.5V,不够抵消Ube
  • 从降低功耗的角度来说,希望R1和R2的阻值越大越好。但是电阻阻值不能选取过大,要根据负载电流来设计。负载电流为Ie,而Ie=βIb,Ib不足同样会导致交越失真

4 甲乙类功率放大电路

  • 对于乙类功率放大电路在小电流下性能良好,但是用于大功率放大电路时,会有很大问题
  • 大功率下,三极管VT1和VT2的发热远远比二极管VD1和VD2严重,因为它们的电流相差很大
  • 由于-2.5mV/℃的温漂作用,Ube会降低,但二极管基本不变,下面我们通过添加二管VD3和VD4来模拟二极管的管压降高于三极管的Ube的情况

4.1 三极管因发热而损坏,称为“热击穿”

image.png

4.2 引入射极电阻来限制输出电流,组成甲乙类功率放大电路

image.png

4.3 OCL

image.png

4.4 OTL功放电路 (单电压供电)

  • R1的作用是使三极管管工作在微微导通的状态,工作在甲乙类
  • E点静态工作点,通常被调整在Vcc/2,通过Rw调整
  • 电容可以理解为电池,一般都得几百微法 image.png