如何深入掌握C语言递归函数(详解)

210 阅读5分钟

本文已参与「新人创作礼」活动,一起开启掘金创作之路

目录

什么是递归

两个基本要素

递归关系

结束条件

例题

按顺序打印整形数组

分析问题

参考代码

 求字符串的长度(编写函数不允许创建临时变量)

分析问题

 求n的阶乘

参考代码

斐波那契数列

函数化思想如下

参考代码

总结特点

优点

缺点

什么时候使用


什么是递归


递归就是一个函数在它的函数体内调用它自身来解决问题,实现将大事化小,复杂化简单

两个基本要素


递归关系

执行递归函数,满足递归关系将反复调用其自身,每调用一次就进入新的一层(类似递推的感觉)

结束条件

如果函数一直递推,每递推一次就会开辟一个空间,而内存是有限的

就需要一个限制条件,当无法满足继续递归时,就开始返回(回归)

注:因为开辟空间,返回时调用函数中的变量依然会保持使用,以此实现反向输出得到想要的结果

递归的精髓在于通过不断地重复逼近一个最终的结果,它更多的是一种思想,用于解决某些问题

例题


按顺序打印整形数组

分析问题

举例打印1234,尝试分解问题,逼近想要的结果

一个数余10,我们可以得到个位数

想的到十位数,可以先除十再余十(整形间除法是没有小数位的) 

参考代码

void print(unsigned int n)
{
	if (n > 9)
	{
		print(n / 10);//递推关系
	}
	printf("%d ", n % 10);//开始返回
}

int main()
{
	//接受一个整型值(无符号),按照顺序打印它的每一位
	unsigned int num = 0;
	scanf("%u", &num);//1234
	print(num);
	return 0;
}

 这样看来递归还是非常有意思的哈

 求字符串的长度(编写函数不允许创建临时变量)

分析问题

 找到递归关系:想特点,字符串是以‘\0’结尾的

 参考代码

int my_strlen(char* s)
{
	if (*s != '\0')
	{
		return 1 + my_strlen(s+1);
	}
	else
	{
		return 0;
	}
}
int main()
{
	//求字符串长度
	char arr[10] = "abcd";
	//数组名arr是数组首元素的地址 - char*
	int len = my_strlen(arr);//6
	printf("%d\n", len);

	return 0;
}

再来,来试试思考下面这个问题

 求n的阶乘

分析问题如何逼近结果,思考两个要素

参考代码

int Fac(int n)
{
	if (n <= 1)
		return 1;
	else
		return n* Fac(n - 1);
}

int main()
{
	int n = 0;
	scanf("%d", &n);//3
	//去n的阶乘
	int ret = Fac(n);
	printf("%d\n", ret);

	return 0;
}

递归这样看来十分快捷简便,但它也有局限,毕竟递归是一个不断调用函数重复的过程

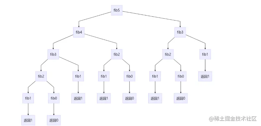
斐波那契数列

0, 1, 1, 2, 3, 5, 8, 13, 21, ···

斐波那契数列是一个从第三项开始,每一项都等于前两项之和的数列问题

函数化思想如下

参考代码

int count = 0;

int Fib1(int n)
{
	if (n == 3)
	{
		count++;
	}
	if (n <= 2)
		return 1;
	else
		return Fib1(n - 1) + Fib1(n - 2);
}


int main()
{
	int n = 0;
	scanf("%d", &n);
	int ret = Fib(n);
	printf("%d\n", ret);
	
//	printf("count = %d\n", count);

	return 0;
}

仅从求第五项来看,就调用了4次第一项

想想那第五十项,又要调用多少次,计算有需要多久呢?(存在明显问题)

而用循环对于这个问题却又变得简单许多,至少计算很快

//迭代(循环)
int Fib(int n)
{
	int a = 1;
	int b = 1;
	int c = 1;

	while (n>2)
	{
		c = a + b;
		a = b;
		b = c;
		n--;
	}
	return c;
}

总结特点


优点

1. 简洁

2.在树的前序,中序,后序遍历算法中,递归的实现明显要比循环简单得多。

缺点

1.递归由于是函数调用自身,而函数调用是有时间和空间的消耗的:每一次函数调用,都需要在内存栈中分配空间以保存参数、返回地址以及临时变量,而往栈中压入数据和弹出数据都需要时间。->效率

2.递归中很多计算都是重复的,由于其本质是把一个问题分解成两个或者多个小问题,多个小问题存在相互重叠的部分,则存在重复计算,如fibonacci斐波那契数列的递归实现。->效率

3.调用栈可能会溢出,其实每一次函数调用会在内存栈中分配空间,而每个进程的栈的容量是有限的,当调用的层次太多时,就会超出栈的容量,从而导致栈溢出。->性能

什么时候使用