《LeetCode——位运算》

184 阅读10分钟

位运算题目如下:

6.汉明距离

7.消失的数字

8.二进制中1的个数

9.0~n-1中缺失的数字

10.前n个数字二进制中1的个数

11.只出现一次的数字I

12.只出现一次的数字II

13.只出现一次的数字III

14.只出现一次的数字IV


此次博文是位运算的合集之一,新的小伙伴想要看其他关于位运算的内容可以看看之前的博客!


六、汉明距离

0、代码运行结果:

在这里插入图片描述

1.题目描述:

两个整数之间的 汉明距离 指的是这两个数字对应二进制位不同的位置的数目。
给你两个整数 x 和 y,计算并返回它们之间的汉明距离。

示例 1:
输入:x = 1, y = 4
输出:2
解释:
1   (0 0 0 1)
4   (0 1 0 0)
       ↑   ↑
上面的箭头指出了对应二进制位不同的位置。

示例 2:
输入:x = 3, y = 1
输出:1

提示:
0 <= x, y <= 2^31 - 1

2.代码如下:

public int hammingDistance(int x, int y) {
    if ((x ^ y) == 0) return 0;
    return (x ^ y) % 2 + hammingDistance(x / 2, y / 2);
}

3.代码解析:

public int hammingDistance(int x, int y) {
    if ((x ^ y) == 0) return 0;
    //如果x == y , 那么汉明距离为0;
    return (x ^ y) % 2 + hammingDistance(x / 2, y / 2);
    //如果x != y ,那么进行递归(x ^ y) % 2 + hammingDistance(x / 2, y / 2);
    //实例解析:
    //输入:x = 1, y = 4
	//输出:2
	//解释:
	//1   (0 0 0 1)
	//4   (0 1 0 0)
	       ↑   ↑
	//上面的箭头指出了对应二进制位不同的位置。
	//return (1 ^ 4) % 2  == 5(二进制为:0101) % 2 == 1
	//		+ hammingDistance(x / 2, y / 2) 相当于将x和y的二进制位右移一位
	//然后进行
	//return*(0 ^ 2) % 2 == 2(二进制位为:0010) % 2 == 0  
	//......
	
	//总结
	//就是每次异或一下,然后判断二进制第零位为一还是为零,是一的话汉明距离加一。
	//其实可以将代码简化为如下代码:(运行时间也是100%,小伙伴们可以测试哦!)
	//	int res = 0;
    //    while((x ^ y) != 0)
    //    {
    //        res += (x ^ y) & 1;
    //        x >>= 1;
    //        y >>= 1;
    //    }
    //    return res;
	//
}

七.消失的数字

0、代码运行结果:

在这里插入图片描述

1.题目描述:

数组nums包含从0到n的所有整数,但其中缺了一个。请编写代码找出那个缺失的整数。你有办法在O(n)时间内完成吗?

示例 1:
输入:[3,0,1]
输出:2
 

示例 2:
输入:[9,6,4,2,3,5,7,0,1]
输出:8

2.代码如下:

public int missingNumber(int[] nums) {
        int res = 0;
        int ans =0;
        for(int x : nums)
        {
            res+=x;
        }
        for(int i = 1;i<=nums.length;i++)
        {
            ans+=i;
        }
        return ans - res;
    }

3.代码解析:

public int missingNumber(int[] nums) {
        int res = 0;
        int ans =0;
        //题目所给范围是[0~n]之间的数
        //所以题目思路是进行一次for循环将[0~n]之间的数进行相加,然后减去所给nums数组中所给数字的和,最后进行相减,得出最终答案。
        //首先定义两个变量用来计数
        for(int x : nums)//用res变量来记录nums数组中所给数字的和
        {
            res+=x;
        }
        for(int i = 1;i<=nums.length;i++)//用ans变量来记录[0~n]范围中数字的和
        {
            ans+=i;
        }
        return ans - res;//[0~n]范围中数字的和 减去 nums数组中所给数字的和即为最终答案。
    }

八. 二进制中1的个数

0、代码运行结果:

在这里插入图片描述

1.题目描述:

编写一个函数,输入是一个无符号整数(以二进制串的形式),返回其二进制表达式中数字位数为 '1' 的个数(也被称为 汉明重量).)。
提示:
请注意,在某些语言(如 Java)中,没有无符号整数类型。在这种情况下,输入和输出都将被指定为有符号整数类型,并且不应影响您的实现,因为无论整数是有符号的还是无符号的,其内部的二进制表示形式都是相同的。
在 Java 中,编译器使用 二进制补码 记法来表示有符号整数。因此,在上面的 示例 3 中,输入表示有符号整数 -3。

示例 1:
输入:n = 11 (控制台输入 00000000000000000000000000001011)
输出:3
解释:输入的二进制串 00000000000000000000000000001011 中,共有三位为 '1'。

示例 2:
输入:n = 128 (控制台输入 00000000000000000000000010000000)
输出:1
解释:输入的二进制串 00000000000000000000000010000000 中,共有一位为 '1'。

示例 3:
输入:n = 4294967293 (控制台输入 11111111111111111111111111111101,部分语言中 n = -3)
输出:31
解释:输入的二进制串 11111111111111111111111111111101 中,共有 31 位为 '1'。
提示:
输入必须是长度为 32 的 二进制串 。

2.代码如下:

public int hammingWeight(int n) {
        int res = 0;
        while(n != 0)
        {
            int rightOne = n & (~n + 1);
            n ^= rightOne;
            res ++;
        }
        return res;
    }

3.代码解析:

public int hammingWeight(int n) {
        int res = 0;
        //题目是让我们求所给数字在二进制表示的情况下,“1”的出现次数,
        //本题思路:我们每次拿出所给数字最右侧的“1”,然后将最右侧的“1”删除,直到所给数字为0
        //本题难点:如何取最右侧的“1”。
        while(n != 0)
        {
            int rightOne = n & (~n + 1);
            //我们定义变量rightOne用来记录最右侧的“1”,
            //取指定数字n中最右侧的“1”的方式是:n & (~n + 1)
            //代码不长,建议背下来即可
            //实例解析:
            //输入:n = 11 (11的二进制表示为:00000000000000000000000000001011)
			//输出:3
			//为了方便观看,我们取最后8位,11的二进制表示为:00001011
			//首先进行取反:~n :11110100
			//然后进行取反加一: ~n+1 :11110101
			//然后进行与操作:n & (~n + 1) : 0000001
			//最后最右侧的“1”被取出
            n ^= rightOne;
            //现在我们需要将制定数字中的最右侧的“1”去掉,因为已经计算过了
            //此时我们可以用异或操作,因为异或操作是二进制位中相同为0,不同为一
            res ++;
        }
        return res;
    }

九.0~n-1中缺失的数字

0、代码运行结果:

在这里插入图片描述

1.题目描述:

一个长度为n-1的递增排序数组中的所有数字都是唯一的,并且每个数字都在范围0~n-1之内。在范围0~n-1内的n个数字中有且只有一个数字不在该数组中,请找出这个数字。
示例 1:
输入: [0,1,3]
输出: 2

示例 2:
输入: [0,1,2,3,4,5,6,7,9]
输出: 8
限制:
1 <= 数组长度 <= 10000

2.代码如下:

public int missingNumber(int[] nums) {
       int res = 0;
        for(int i = 0; i < nums.length;i++)
        {
            res = i ^ nums[i];
            if(res != 0)
            {
                return i;
            }
        }
        return nums.length;
    }

3.代码解析:

public int missingNumber(int[] nums) {
		//由题目可知,我们需要求出[0~n]范围中缺失的某个数字
		//本题思路,进行一次for循环,因为是递增数组所以不需要进行排序
		//我们可以采用相同数字异或为0,进行判断
        int res = 0;
        for(int i = 0; i < nums.length;i++)
        {
            res = i ^ nums[i];
            //实例解析
            //示例 1:
			//输入: [0,1,3]
			//输出: 2
			//i == 0 : 0 ^ 0 == 0;
			//i == 1 : 1 ^ 1 == 0;
			//i == 2 : 2 ^ 3 == 1;
            if(res != 0)//如果res不为0,说明出现缺失的数字了。
            {
                return i;
            }
        }
        return nums.length;
    }

十.前n个数字二进制中1的个数

0、代码运行结果:

在这里插入图片描述

1.题目描述:

给定一个非负整数 n ,请计算 0 到 n 之间的每个数字的二进制表示中 1 的个数,并输出一个数组。
示例 1:
输入: n = 2
输出: [0,1,1]
解释: 
0 --> 0
1 --> 1
2 --> 10

示例 2:
输入: n = 5
输出: [0,1,1,2,1,2]

解释:
0 --> 0
1 --> 1
2 --> 10
3 --> 11
4 --> 100
5 --> 101
说明 :
0 <= n <= 10^5

2.代码如下:

public int[] countBits(int n) {
        int[] bits = new int[n + 1];
        for (int i = 1; i <= n; i++) {
            bits[i] = bits[i & (i - 1)] + 1;
        }
        return bits;
    }

3.代码解析:

//采用一个数组进行计数,名称为bit数组
	//对于正整数n,将n的二进制表示右移一位,等价于将其二进制表示的最低位去掉,得到的数是n/2
	//如果bit[n/2]的值已经知道,那么从bit[n/2]的值推算出bit[n]的值
	//由此,可以将正整数n分为两类,一是奇数,二是偶数
	//有如下公式,
	//1 所给数字n为奇数,bit[n] = bit[n/2] + 1
	//2 所给数字n为偶数,bit[n] = bit[n/2]
	//综上所述,我们可以将公式1和公式2综合在一起,最后的表达式为bit[n/2] + n % 2。
	public int[] countBits(int n) {
		int[] bits = new int[n + 1];
        for (int i = 1; i <= n; i++) {
            bits[i] = bits[i & (i - 1)] + 1;
        }
        return bits;
	}
	//我们以示例2进行解析
	//根据示例我们可以得出,所需要求的比特位长度为n+1,因为二进制是从下标0开始算起
	//示例 2:
	//输入:n = 5
	//输出:[0,1,1,2,1,2]
	//解释:
	//0 --> 0
	//1 --> 1
	//2 --> 10
	//3 --> 11
	//4 --> 100
	//5 --> 101
	//首先申请一个长度为n+1的bit数组
	//进行for循环
	//i == 0 ,bits[0] = 0;
	//i == 1 时,bits[1] = bits[0] + (1 & 1) == 0 + 1 = 1;
	//i == 2 时,bits[2] = bits[1] + (2 & 1) == 1 + 0 = 1;
	//i == 3 时,bits[3] = bits[1] + (3 & 1) == 1 + 1 = 2;
	//i == 4 时,bits[4] = bits[2] + (4 & 1) == 1 + 0 = 1;
	//i == 5 时,bits[5] = bits[2] + (5 & 1) == 1 + 1 = 2;
	//返回bit数组,bit数组为[0, 1, 1, 2, 1, 2]。

十一.只出现一次的数字I

0、代码运行结果:

在这里插入图片描述

1.题目描述:

给定一个非空整数数组,除了某个元素只出现一次以外,其余每个元素均出现两次。找出那个只出现了一次的元素。
说明:
你的算法应该具有线性时间复杂度。 你可以不使用额外空间来实现吗?

示例 1:
输入: [2,2,1]
输出: 1

示例 2:
输入: [4,1,2,1,2]
输出: 4

2.代码如下:

public int singleNumber(int[] nums) {
        int x = 0;
        for(int i = 0 ; i < nums.length;i++)
        {
            x ^= nums[i];
        }
        return x;
    }

3.代码解析:

public int singleNumber(int[] nums) {
        int x = 0;
        //由题目可知,只有一个数字出现一次,剩下的数字都出现了两次
        //由位运算中的异或操作,即相同数字异或为0,并且异或操作满足数学上的交换律和结合律。
        //所以进行一次for循环,用变量x进行记录。循环结束后,x即为只出现一次的数字。
        for(int i = 0 ; i < nums.length;i++)
        {
        	//实例解析:
        	//示例 2:
			//输入: [4,1,2,1,2]
			//输出: 4
			//i == 0 : x = 0 ^ 4 == 4
			//i == 1 : x = 4 ^ 1 == 5
			//i == 2 : x = 5 ^ 2 == 7
			//i == 3 : x = 7 ^ 1 == 6
			//i == 4 : x = 6 ^ 2 == 4
            x ^= nums[i];
        }
        return x;
  	}

十二.只出现一次的数字II

0、代码运行结果:

在这里插入图片描述

1.题目描述:

给你一个整数数组 nums ,除某个元素仅出现 一次 外,其余每个元素都恰出现 三次 。请你找出并返回那个只出现了一次的元素。

示例 1:
输入:nums = [2,2,3,2]
输出:3

示例 2:
输入:nums = [0,1,0,1,0,1,99]
输出:99

2.代码如下:

public int singleNumber(int[] nums) {
        int a = 0, b = 0;
        for (int num : nums) {
            b = ~a & (b ^ num);
            a = ~b & (a ^ num);
        }
        return b;
    }

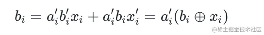
3.代码解析:

在这里插入图片描述

在这里插入图片描述

图片1: 在这里插入图片描述 图片2: 在这里插入图片描述 图片3: 在这里插入图片描述 图片4:

在这里插入图片描述

public int singleNumber(int[] nums) {
        //两个整数a和b,会有三种情况:
		//a 的第i 位为0 且b 的第i 位为0,表示0。
		//a 的第i 位为0 且b 的第i 位为1,表示1。
		//a 的第i 位为1 且b 的第i 位为0,表示2。
		//当我们遍历到一个新的整数x时,对于x的第i位xi,如果 xi=0,那么a和b的第i位不变;
		//如果xi=1,那么a和b的第i位按照 (00)→(01)→(10)→(00)→(01)→(10)→(00) 这一循环进行变化。
		//可以推导出如下两个公式:
		//在图片1和2
		//综合这两个公式可以推导出最后结论,如图三。
		//将图片三在进行优化,得到图片4。
		int a = 0, b = 0;
        for (int num : nums) {
            b = ~a & (b ^ num);
            a = ~b & (a ^ num);
        }
        return b;
        //实例解析
        //示例 1:
		//输入:nums = [2,2,3,2]
		//输出:3
		//进入for循环:
		//i == 0:
		//b = -1 & (0 ^ 2) = 2;
		//a = -3 &  (0 ^ 2) = 0;
		//i == 1:
		//b = -1 & (2 ^ 2) = 0;
		//a = -1 &  (0 ^ 2) = 2;
		//i == 2:
		//b = -3 & (0 ^ 3) = 1;
		//a = -2 &  (2 ^ 3) = 0;
		//i == 3:
		//b = -1 & (1 ^ 2) = 3;
		//a = -4 &  (0 ^ 2) = 0;
        
    }

十三.只出现一次的数字III

0、代码运行结果:

在这里插入图片描述

1.题目描述:

给定一个整数数组 nums,其中恰好有两个元素只出现一次,其余所有元素均出现两次。 找出只出现一次的那两个元素。你可以按 任意顺序 返回答案。
进阶:你的算法应该具有线性时间复杂度。你能否仅使用常数空间复杂度来实现?
示例 1:
输入:nums = [1,2,1,3,2,5]
输出:[3,5]
解释:[5, 3] 也是有效的答案。

示例 2:
输入:nums = [-1,0]
输出:[-1,0]

示例 3:
输入:nums = [0,1]
输出:[1,0]

2.代码如下:

public int[] singleNumber(int[] arr) {
        int eor = 0;
		for (int i = 0; i < arr.length; i++) {
			eor ^= arr[i];
		}
		int rightOne = eor & (~eor + 1);
		int onlyOne = 0; 
		for (int i = 0 ; i < arr.length;i++) {
			if ((arr[i] & rightOne) != 0) {
				onlyOne ^= arr[i];
			}
		}
        return new int[]{onlyOne, eor ^ onlyOne};
    }

3.代码解析:

public int[] singleNumber(int[] arr) {
        int eor = 0;
		for (int i = 0; i < arr.length; i++) {
			eor ^= arr[i];
		}
		// eor = a ^ b
		// eor != 0
		// eor必然有一个位置上是1
		// 0110010000
		// 0000010000
		int rightOne = eor & (~eor + 1); // 提取出最右的1
		int onlyOne = 0; // eor'
		for (int i = 0 ; i < arr.length;i++) {
			//  arr[1] =  111100011110000
			// rightOne=  000000000010000
			if ((arr[i] & rightOne) != 0) {
				onlyOne ^= arr[i];
			}
		}
		//示例 1:
		//输入:nums = [1,2,1,3,2,5]
		//输出:[3,5]
		//首先定义一个变量eor
		//然后进行一次for循环,得到只出现一次的两个数的异或值
		//进行如下for循环:
		//for (int i = 0; i < arr.length; i++) {
		//	eor ^= arr[i];
		//}
		//eor = 0 ^ 1 ^ 2 ^ 1 ^ 3 ^ 2 ^ 5 = 6(二进制表示为:0110)
		//然后我们提取出eor最右侧的1
		//即rightOne = 0010 = 2;
		//我们只让nums数组中数字的二进制在第一位为1的数进行异或操作
		//1 : 0001
		//2 : 0010
		//3 : 0011
		//5 : 0101
		//进入如下for循环:
		//for (int i = 0 ; i < arr.length;i++) {
		//	if ((arr[i] & rightOne) != 0) {
		//		onlyOne ^= arr[i];
		//	}
		//}
		//i == 0 : 1 & 2 == 0;跳过
		//i == 1 : 2 & 2 == 2;onlyOne = 0 ^ 2 = 2;
		//i == 2 : 1 & 2 == 0;跳过
		//i == 3 : 3 & 2 == 2;onlyOne = 2 ^ 3 = 1;
		//i == 4 : 2 & 2 == 2;onlyOne = 1 ^ 2 = 3;
		//i == 5 : 5 & 2 == 0;跳过
		//onlyOne = 3;
		//eor ^ onlyOne = 3 ^ 6 = 5.
		
        return new int[]{onlyOne, eor ^ onlyOne};
    }

十四.只出现一次的数字IV

0、代码运行结果:

在这里插入图片描述

1.题目描述:

给你一个整数数组 nums ,除某个元素仅出现 一次 外,其余每个元素都恰出现 三次 。请你找出并返回那个只出现了一次的元素。
示例 1:
输入:nums = [2,2,3,2]
输出:3

示例 2:
输入:nums = [0,1,0,1,0,1,100]
输出:100

2.代码如下:

public int singleNumber(int[] nums) {
        int a = 0, b = 0;
        for (int num : nums) {
            b = ~a & (b ^ num);
            a = ~b & (a ^ num);
        }
        return b;
    }

3.代码解析:

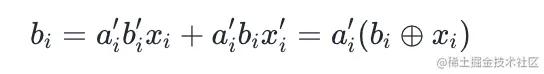
在这里插入图片描述

在这里插入图片描述

图片1: 在这里插入图片描述 图片2: 在这里插入图片描述 图片3: 在这里插入图片描述 图片4:

在这里插入图片描述

public int singleNumber(int[] nums) {
        //两个整数a和b,会有三种情况:
		//a 的第i 位为0 且b 的第i 位为0,表示0。
		//a 的第i 位为0 且b 的第i 位为1,表示1。
		//a 的第i 位为1 且b 的第i 位为0,表示2。
		//当我们遍历到一个新的整数x时,对于x的第i位xi,如果 xi=0,那么a和b的第i位不变;
		//如果xi=1,那么a和b的第i位按照 (00)→(01)→(10)→(00)→(01)→(10)→(00) 这一循环进行变化。
		//可以推导出如下两个公式:
		//在图片1和2
		//综合这两个公式可以推导出最后结论,如图三。
		//将图片三在进行优化,得到图片4。
		int a = 0, b = 0;
        for (int num : nums) {
            b = ~a & (b ^ num);
            a = ~b & (a ^ num);
        }
        return b;
        //实例解析
        //示例 1:
		//输入:nums = [2,2,3,2]
		//输出:3
		//进入for循环:
		//i == 0:
		//b = -1 & (0 ^ 2) = 2;
		//a = -3 &  (0 ^ 2) = 0;
		//i == 1:
		//b = -1 & (2 ^ 2) = 0;
		//a = -1 &  (0 ^ 2) = 2;
		//i == 2:
		//b = -3 & (0 ^ 3) = 1;
		//a = -2 &  (2 ^ 3) = 0;
		//i == 3:
		//b = -1 & (1 ^ 2) = 3;
		//a = -4 &  (0 ^ 2) = 0;
        
    }