剑指 Offer 52. 两个链表的第一个公共节点 | 算法

88 阅读3分钟

剑指 Offer 52. 两个链表的第一个公共节点

输入两个链表,找出它们的第一个公共节点。

如下面的两个链表:
image.png

在节点 c1 开始相交。

示例 1:

image.png
输入:intersectVal = 8, listA = [4,1,8,4,5], listB = [5,0,1,8,4,5], skipA = 2, skipB = 3
输出:Reference of the node with value = 8
输入解释:相交节点的值为 8 (注意,如果两个列表相交则不能为 0)。从各自的表头开始算起,链表 A[4,1,8,4,5],链表 B[5,0,1,8,4,5]。在 A 中,相交节点前有 2 个节点;在 B 中,相交节点前有 3 个节点。


示例 2
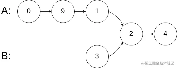
image.png
输入:intersectVal = 2, listA = [0,9,1,2,4], listB = [3,2,4], skipA = 3, skipB = 1
输出:Reference of the node with value = 2
输入解释:相交节点的值为 2 (注意,如果两个列表相交则不能为 0)。从各自的表头开始算起,链表 A[0,9,1,2,4],链表 B[3,2,4]。在 A 中,相交节点前有 3 个节点;在 B 中,相交节点前有 1 个节点。


示例 3

image.png

输入:intersectVal = 0, listA = [2,6,4], listB = [1,5], skipA = 3, skipB = 2
输出:null
输入解释:从各自的表头开始算起,链表 A[2,6,4],链表 B[1,5]。由于这两个链表不相交,所以 intersectVal 必须为 0,而 skipA 和 skipB 可以是任意值。
解释:这两个链表不相交,因此返回 null。


注意:

如果两个链表没有交点,返回 null.
在返回结果后,两个链表仍须保持原有的结构。
可假定整个链表结构中没有循环。
程序尽量满足 O(n) 时间复杂度,且仅用 O(1) 内存。
本题与主站 160 题相同:https://leetcode-cn.com/problems/intersection-of-two-linked-lists/

解题思路: 一图胜千言,看图你就明白了

空间复杂度 O(1)O(1) 时间复杂度为 O(n)O(n)

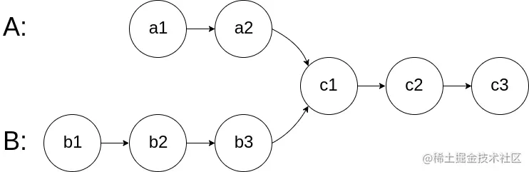
这里使用图解的方式,解释比较巧妙的一种实现。

根据题目意思 如果两个链表相交,那么相交点之后的长度是相同的

我们需要做的事情是,让两个链表从同距离末尾同等距离的位置开始遍历。这个位置只能是较短链表的头结点位置。 为此,我们必须消除两个链表的长度差

指针 pA 指向 A 链表,指针 pB 指向 B 链表,依次往后遍历 如果 pA 到了末尾,则 pA = headB 继续遍历 如果 pB 到了末尾,则 pB = headA 继续遍历 比较长的链表指针指向较短链表head时,长度差就消除了 如此,只需要将最短链表遍历两次即可找到位置 听着可能有点绕,看图最直观,链表的题目最适合看图了

image.png

代码实现

JS代码

var getIntersectionNode = function(headA, headB) {
    if (headA === null || headB === null) return null

    var pa = headA, 
          pb = headB;
    while (pa != pb){
        pa = pa != null? pa.next : headB;
        pb = pb != null? pb.next : headA;
    }
    return pa;
};

Python代码

class Solution:
    def getIntersectionNode(self, headA: ListNode, headB: ListNode) -> ListNode:
        pa = headA
        pb = headB
        while pa != pb:
            pa = pa.next if pa else headB
            pb = pb.next if pb else headA
        return pa