LeetCode-145. 二叉树的后序遍历

55 阅读1分钟

我报名参加金石计划1期挑战——瓜分10万奖池,这是我的第2篇文章,点击查看活动详情

1. 描述

给你一棵二叉树的根节点 root ,返回其节点值的 后序遍历

2. 示例

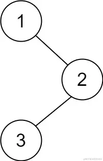
示例 1

输入:root = [1,null,2,3]
输出:[3,2,1]

示例 2

输入:root = []
输出:[]

3. 答案

class Solution {
    List<Integer> res = new ArrayList<>();
    public List<Integer> postorderTraversal(TreeNode root) {
        if (root != null) helper(root);
        return res;
    }
    public void helper(TreeNode root) {
        if (root.left != null) helper(root.left);
        if (root.right != null) helper(root.right);
        res.add(root.val);
    }
}
  • 标签:二叉树、递归
  • 主要思想:后序遍历
  • 时间复杂度:O(n)
  • 空间复杂度:O(n)

LeetCode:145. 二叉树的后序遍历