0 概述
我本来应该在学习Stable Diffusion的代码。但是因为其很大程度是依赖于DDPM的研究,所以现在沿着这棵树往上爬,必须要先干掉DDPM。
DDPM其中包含了很多的背景知识,比方说扩散模型和score matching。DDPM主要是提出了扩散模型通过一些参数化的手段,使其在形式上与score-based generative modeling的等效性。
这里基于一篇论文:
- 2015:Deep Unsupervised Learning using Nonequilibrium Thermodynamics
生成模型有5类:
- sequence2sequence
- GAN对抗生成
- flow-based generative model
- VAE生成模型
- Diffusion model
0 前置条件
0.1 条件概率公式
P(A,B,C)=P(C∣B,A)P(B,A)=P(C∣B,A)P(B∣A)P(A)
P(B,C∣A)=P(C∣A,B)P(B∣A)
那么如果满足马尔可夫假设的条件概率是什么样子的呢?
马尔可夫假设:当前状态仅仅与上一时刻的状态有关,与更早的状态无关
如果满足马尔可夫链关系A->B->C,那么:
P(A,B,C)=P(C∣B)P(B∣A)P(A)
同理
P(B,C∣A)=P(C∣B)P(B∣A)
0.2 高斯分布和KL散度
单变量高斯分布的公式:
f(x)=σ2π1e−2σ2(x−μ)2
KL散度公式:
KL[p∣∣q]=Ex∼p[log(qp)]
所以两个单变量的高斯分布的KL散度可以写作:
KL[p(x)∣∣q(x)]=∫xσ12π1e2σ12−(x−μ1)2(logσ1σ2+2σ22(x−μ2)2−2σ12(x−μ1)2)dx
这个公式的第一个是常数项:

这个公式的第三项等于21(因为高斯分布的方差定义)。
第二项其中关键在于下面公式的推导:
∫xσ12π1e−2σ12(x−μ1)2x2dx=σ12+μ12
诀窍在于x2=(x−μ)2+2μx−μ2
总之,我们可以得到两个单变量高斯分布的KL散度为:
logσ1σ2−21+2σ22σ12+(μ1−μ2)2

0.3 重参数技巧
VAE当中使用的,如果希望从高斯分布N(μ,σ)中进行采样,会造成采样过程不可微分;这时候,我们可以从标准分布N(0,1)当中采样出来z,然后利用σ∗z+μ的方式。这样子可以让采样过程保持可导。
1. VAE
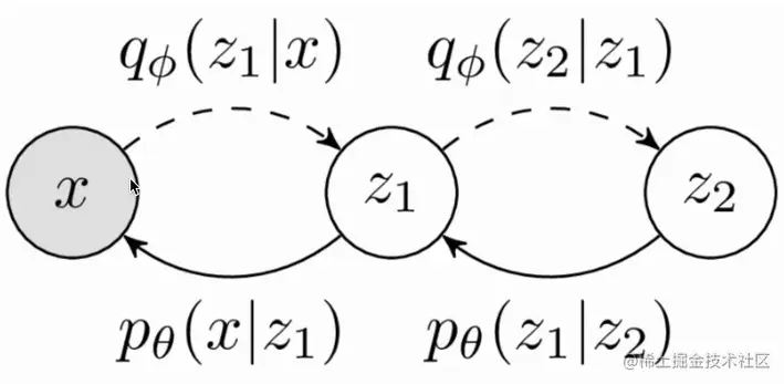
1.1 单层VAE

上图是VAE的逻辑,虚线是训练时候的网络模块。将x映射到隐含变量z上,然后再通过z还原x。推理的时候采样z,然后直接从z到x实现生成过程。
简单推导一下VAE的原理:
p(x)=∫zpθ(x∣z)p(z)
p(x)=∫zqϕ(z∣x)∗qϕ(z∣x)pθ(x∣z)p(z)
我们可以写成期望的形式,并且在左边加上log变成对数似然
logp(x)=logEz∼qϕ(z∣x)[qϕ(z∣x)pθ(x∣z)p(z)]
根据jenson不等式定义,log为上凸函数,所以上公式可以写作:
logEz∼qϕ(z∣x)[qϕ(z∣x)pθ(x∣z)p(z)]≥Ez∼qϕ(z∣x)log[qϕ(z∣x)pθ(x∣z)p(z)]
我们生成图像的目的就是最大化似然,但是这是不可得的。但是我们可以最大化这个似然的下界,所以我们要最大化上面公式右边的东西。
右边的东西我们可以继续推导:
Ez∼qϕ(z∣x)log[qϕ(z∣x)pθ(x∣z)p(z)]=Ez∼qϕ(z∣x)logpθ(x∣z)−Ez∼qϕ(z∣x)p(z)qϕ(z∣x)
后面是KL散度的定义,所以可以下界可以写成:
Ez∼qϕ(z∣x)logpθ(x∣z)−KL(qϕ(z∣x)∣∣p(z))
第一项最大化的模型含义就是z生成的x足够真实,第二项需要最小化,物理含义就是要让qϕ(z∣x)的分布于p(z)相同,都是正态分布。(推导到这里实在是太美了,VAE不愧是GAN之下第一生成模型。)
1.2 多层VAE
经典VAE就是单层VAE,现在我们来看下多层的VAE模型。

同上,我们来做一个类似的推导:
p(x)=∫z1∫z2pθ(x,z1,z2)dz1dz2
p(x)=∫z1∫z2qϕ(z1,z2∣x)qϕ(z1,z2∣x)pθ(x,z1,z2)
p(x)=Ez1,z2∼qϕ(z1,z2∣x)[qϕ(z1,z2∣x)pθ(x,z1,z2)]
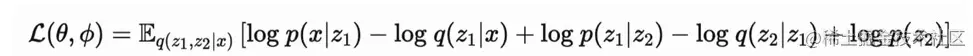
logp(x)=logEz1,z2∼qϕ(z1,z2∣x)[qθ(z1,z2∣x)pθ(x,z1,z2)]≥Ez1,z2∼qϕ(z1,z2∣x)log[qϕ(z1,z2∣x)pθ(x,z1,z2)]
pθ(x,z1,z2)=pθ(x∣z1,z2)pθ(z1∣z2)p(z2)
如果服从马尔可夫假设,则:
pθ(x,z1,z2)=pθ(x∣z1)pθ(z1∣z2)p(z2)
qϕ(z1,z2∣x)=qϕ(z2∣x,z1)qϕ(z1∣x)
如果服从马尔可夫假设,则:
qϕ(z1,z2∣x)=qϕ(z2∣z1)qϕ(z1∣x)
所以最终下界可以表示为:
