LeetCode-144. 二叉树的前序遍历

71 阅读1分钟

我报名参加金石计划1期挑战——瓜分10万奖池,这是我的第1篇文章,点击查看活动详情

1. 描述

给你二叉树的根节点 root ,返回它节点值的前序遍历。

2. 示例

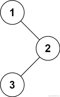
示例 1

输入:root = [1,null,2,3]
输出:[1,2,3]

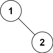
示例 2

输入:root = [1,null,2]
输出:[1,2]

3. 答案

class Solution {
    List<Integer> res = new ArrayList<>();
    public List<Integer> preorderTraversal(TreeNode root) {
        helper(root);
        return res;
    }

    public void helper(TreeNode root) {
        if (root == null) {
            return;
        }
        res.add(root.val);
        helper(root.left);
        helper(root.right);
    }
}
  • 标签:树
  • 主要思想:二叉树的前序遍历:按照访问根节点——左子树——右子树的方式遍历这棵树
  • 时间复杂度:O(n)
  • 空间复杂度:O(n)

LeetCode:144. 二叉树的前序遍历