leetcode 101. Symmetric Tree 对称二叉树(简单)

82 阅读1分钟

一、题目大意

给你一个二叉树的根节点 root , 检查它是否轴对称。

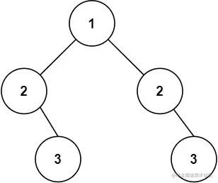
示例 1:

image.png

输入:root = [1,2,2,3,4,4,3] 输出:true

示例 2:

image.png

输入:root = [1,2,2,null,3,null,3] 输出:false

提示:

  • 树中节点数目在范围 [1, 1000] 内

  • -100 <= Node.val <= 100

**进阶:**你可以运用递归和迭代两种方法解决这个问题吗?

来源:力扣(LeetCode) 链接:leetcode.cn/problems/sy… 著作权归领扣网络所有。商业转载请联系官方授权,非商业转载请注明出处。

二、解题思路

判断一个树是否对称等价于判断左右子树是否对称。分四步:(1)如果两个子树都为空指针,则它们相等或对称(2) 如果两个子树只有一个为空指针,则它们不相等或不对称(3)如果两个子树根节点的值不相等, 则它们不相等或不对称(4)根据相等或对称要求,进行递归处理。

三、解题方法

3.1 Java实现

public class Solution {

    public boolean isSymmetric(TreeNode root) {
        if (root == null) {
            return true;
        }
        return isMirror(root.left, root.right);
    }

    public boolean isMirror(TreeNode left, TreeNode right) {
        // (1)如果两个子树都为空指针,则它们相等或对称
        if (left == null && right == null) {
            return true;
        }
        // (2) 如果两个子树只有一个为空指针,则它们不相等或不对称
        if (left == null && right != null) {
            return false;
        }
        if (left != null && right == null) {
            return false;
        }
        // (3)如果两个子树根节点的值不相等, 则它们不相等或不对称
        if (left != null && right != null && left.val != right.val) {
            return false;
        }
        // (4)根据相等或对称要求,进行递归处理。
        return isMirror(left.left, right.right) && isMirror(left.right, right.left);
    }
}

四、总结小记

  • 2022/9/7 做管理给待遇一定要由远及近