learnOpenGL 4.1 深度测试

160 阅读2分钟

深度测试函数

OpenGL允许我们修改深度测试中使用的比较运算符。我们可以调用glDepthFunc函数来设置比较运算符。默认情况下,我们使用LESS。

glDepthFunc(GL_LESS);

GL_ALWAYS
永远通过深度测试
GL_NEVER
永远不通过深度测试
GL_LESS
在片段深度值小于缓冲的深度值时通过测试
GL_EQUAL
在片段深度值等于缓冲区的深度值时通过测试
GL_LEQUAL
在片段深度值小于等于缓冲区的深度值时通过测试
GL_GREATER
在片段深度值大于缓冲区的深度值时通过测试
GL_NOTEQUAL
在片段深度值不等于缓冲区的深度值时通过测试
GL_GEQUAL
在片段深度值大于等于缓冲区的深度值时通过测试


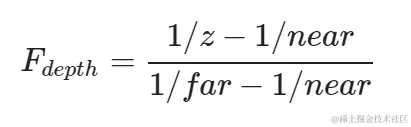
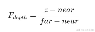
线性/非线性

在进行深度测试之前,我们需要把物体的坐标转化为观察空间的深度值(范围【0,1】)。
转换方式有线性与非线性两种公式如下:
在这里插入图片描述
在这里插入图片描述
在实际应用中,一般采用非线性方程,因为现实世界中的物体存在透视关系,我们要求近处的物体具有更高的精度,非线性满足了这一要求。

深度可视化

通过gl_FragCoord.z我们可以得到深度值,从而通过一些方法实现深度的可视化,比如:

void main()
{
    FragColor = vec4(vec3(gl_FragCoord.z), 1.0);
}

深度冲突

当两个物体贴近时可能就会出现难以判断深度大小关系的情况,即深度冲突。例如放在地板上的箱子,地板与箱子底面的深度非常接近,导致冲突
在这里插入图片描述
通常有三种解决方式:

  • 在靠近的物体之间设置一个用户难以察觉的偏移量。
  • 将近平面设远一些,由于靠近近平面的精度高,使得整体上获得了更高的精度。
  • 牺牲计算性能,使用更多位数的深度缓存。