leetcode 83. Remove Duplicates from Sorted List 删除排序链表中的重复元素(简单)

76 阅读1分钟

一、题目大意

给定一个已排序的链表的头 head , 删除所有重复的元素,使每个元素只出现一次 。返回 已排序的链表 。

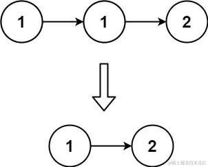
示例 1:

image.png

输入:head = [1,1,2] 输出:[1,2]

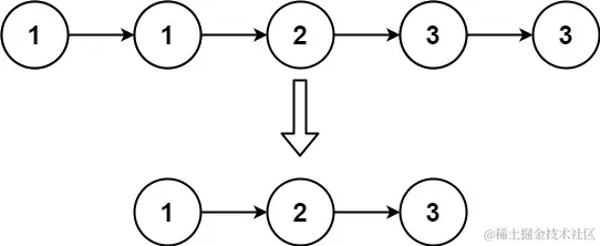
示例 2:

image.png

输入:head = [1,1,2,3,3] 输出:[1,2,3]

提示:

  • 链表中节点数目在范围 [0, 300] 内

  • -100 <= Node.val <= 100

  • 题目数据保证链表已经按升序 排列

来源:力扣(LeetCode) 链接:leetcode.cn/problems/re… 著作权归领扣网络所有。商业转载请联系官方授权,非商业转载请注明出处。

二、解题思路

思路:如果下一个元素和当前元素的值相等,这个元素的下个元素就等于下个元素的下个元素,继续循环。

三、解题方法

3.1 Java实现

class Solution {
    public ListNode deleteDuplicates(ListNode head) {
        ListNode cur = head;
        while (cur != null && cur.next != null) {
            if (cur.val == cur.next.val) {
                cur.next = cur.next.next;
            } else {
                cur = cur.next;
            }
        }

        return head;
    }
}

四、总结小记

  • 2022/9/4 据了解,5公里内通勤是“幸福通勤”的最大阈值