最长同值路径

67 阅读1分钟

687. 最长同值路径 - 力扣(LeetCode)

给定一个二叉树的 root ,返回 最长的路径的长度 ,这个路径中的 每个节点具有相同值 。 这条路径可以经过也可以不经过根节点。

两个节点之间的路径长度 由它们之间的边数表示。

示例 1:


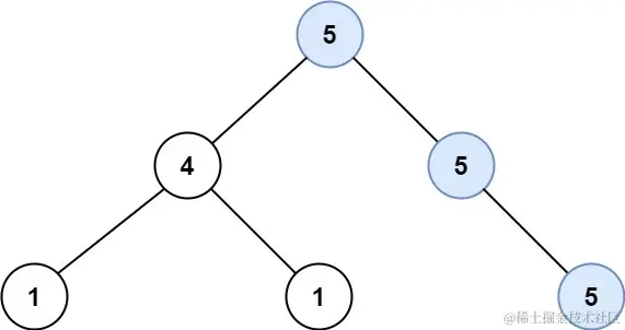
输入: root = [5,4,5,1,1,null,5]
输出: 2

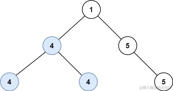
示例 2:


输入: root = [1,4,5,4,4,null,5]
输出: 2

提示:

  • 树的节点数的范围是 [0, 10^4] 
  • -1000 <= Node.val <= 1000
  • 树的深度将不超过 1000

解题

/**
 * Definition for a binary tree node.
 * function TreeNode(val, left, right) {
 *     this.val = (val===undefined ? 0 : val)
 *     this.left = (left===undefined ? null : left)
 *     this.right = (right===undefined ? null : right)
 * }
 */
/**
 * @param {TreeNode} root
 * @return {number}
 */
var longestUnivaluePath = function (root) {
  let longest = 0;
  const dfs = (node) => {
    let leftCount = 0;
    let rightCount = 0;
    const { left, right } = node;
    if (left) {
      let count = dfs(left);
      if (left.val === node.val) {
        leftCount = count;
      }
    }
    if (right) {
      let count = dfs(right);
      if (right.val === node.val) {
        rightCount = count;
      }
    }
    longest = Math.max(longest, leftCount + rightCount);
    return Math.max(leftCount, rightCount) + 1;
  };
  root && dfs(root);
  return longest;
};