(MOT--JDE)Towards Real-Time Multi-Object Tracking

550 阅读8分钟

from: blog.csdn.net/qq_45033722…

前言

JDE可不是一个模型的名字,而是一类追踪算法的总称,全称叫做

Jointly learns the Detector and Embedding model (JDE)

什么意思呢?我们之前讨论的一些多目标追踪模型,比如SORT和DeepSORT,都是2015-2018年常见的MOT范式,也就是tracking by detection 。

该类范式因为通俗易懂,且表现出了不俗的追踪精度,在2015年到2018年,一度成为MOT的主流范式。该范式首先通过检测器(detector)检测出画面中物体所在的检测框,然后根据物体检测框移动的规律(运动特征)和检测框中物体的外观特征(通常通过一个ReID网络抽取一个低维的向量,叫做embedding向量)来进行前后帧同一物体的匹配,从而实现多目标追踪。

该类范式将MOT分为了两步,即

  • 目标检测
  • 特征提取与物体关联 该类方法检测与特征提取是分开的,所以又被称为SDE

Separate Detection and Embedding (SDE)

SDE存在的最大缺点就是速度慢,因为将物体检测和(外观)特征提取分开,检测速度自然就下去了。

那么作者考虑到这点不足,提出了JDE范式。论文和代码链接如下:

论文:Towards Real-Time Multi-Object Tracking

代码:Zhongdao/Towards-Realtime-MOT

SDR、Two-stage与JDE

image.png

作者对比了前面方法:

  1. SDE(Separate Detection and Embedding)就是两阶段法。检测器和Reid模块是独立开来的,先检测后识别(类似Faster-RCNN很像),这些方法需要分为两个大部分操作,两部分不相互干扰,精度高,但是耗时长。
  2. 这里的two-stage实际上是一种端到端的方法,只是不是利用检测的最后的结果,而是利用两阶段检测法中FPN生成的框来做Embedding,这样做可以共享部分特征,减少计算量。但是检测与生成特征部分本质上仍然是两阶段,速度依然无法达到实时。
  • SDE——先从原图中检测一系列包含目标的框,再把这些框送入re-ID model,分配ID和轨迹
  • Two-Stage——从原图中找到一系列ROI的feature,再给这些ROI作bbox回归、分配ID和轨迹
  • JDE——从原图中直接输出检测框以及embedding,再进行分配ID和轨迹,这样检测部分和生成特征部分就融合成了单阶段。(后续的分配ID和轨迹操作不涉及神经网络)

JDE的网络结构和损失函数

JDE是如何一步输出检测结果和Embedding的?

既然作者提到该方法是基于One-stage检测器学习到物体的embedding的(代码中采用的是经典的YOLO V3模型)。那么JDE范式就应该在检测器的输出(head),多输出一个分支用来学习物体的embedding的。

果不其然,作者就是采用了这种思路。原论文中给出结构图如下

这个结构图勾勒了作者大致的想法,在Prediction head中多出来了一个分支用于输出embedding。然后使用一个多任务学习(multi-task learning) 的思路设置损失函数。看的时候觉得如此简单,但是深思了下,发现问题没有这么简单。

第一个问题就是embedding要怎么学出来?

我们知道,理想情况下同一物体在不同的帧中,被同一跟踪标签锁定(即拥有同一track ID)。我们知道的信息就只有他们的标签索引(同一物体的track ID一致,不同物体的track ID不一样)。

那么网络在训练的过程中,应该需要对embedding进行转化,转化为足够强的语义信息,也就是这个embedding到底属于哪个track ID的物体,那么这种就需要借鉴物体分类的思路了(将每个track ID当作一个类别),所以作者引入了全连接层将embedding信息转化为track ID分类信息。

第二个问题就是这个全连结层的输出节点到底是多少?

因为刚才我们提到,要将每个track ID当作一个类别,但是这个track ID的数量十分庞大,甚至不可计数。这个输出节点应该如何设置呢?看了一圈代码,代码中设置了14455个输出节点,这个非常大呀,具体设置的依据是什么,可能和训练数据集的物体数量有关吧。(如果有知道的小伙伴,欢迎留言告诉我,谢谢)

那么实际上作者的结构图是进行了省略的,我们不妨手动补全

这样的话就没什么大的疑问了。有关YOLO V3的结构,熟悉目标检测的都不会陌生,我们这里忽略FPN网络的结构定义,直接看predicition head的代码部分,确定上面的分析是合理的。

该predicition head的代码定义在model.py文件下的 YOLOLayer类中。定义如下:

class YOLOLayer(nn.Module):
    def __init__(self, anchors, nC, nID, nE, img_size, yolo_layer):
        super(YOLOLayer, self).__init__()
        self.layer = yolo_layer
        nA = len(anchors)
        self.anchors = torch.FloatTensor(anchors)
        self.nA = nA  # number of anchors (4)
        print('nA',nA)
        self.nC = nC  # number of classes (1)
        print('nC', nC)
        self.nID = nID # number of identities, 14455
        print('nID', nID)
        self.img_size = 0
        self.emb_dim = nE # 512
        print('nE', nE)
        self.shift = [1, 3, 5]

        self.SmoothL1Loss  = nn.SmoothL1Loss() #  for bounding box regression
        self.SoftmaxLoss = nn.CrossEntropyLoss(ignore_index=-1) # foreground and background classification
        self.CrossEntropyLoss = nn.CrossEntropyLoss()
        self.IDLoss = nn.CrossEntropyLoss(ignore_index=-1) # loss of embedding
        self.s_c = nn.Parameter(-4.15*torch.ones(1))  # -4.15
        self.s_r = nn.Parameter(-4.85*torch.ones(1))  # -4.85
        self.s_id = nn.Parameter(-2.3*torch.ones(1))  # -2.3
        
        self.emb_scale = math.sqrt(2) * math.log(self.nID-1) if self.nID>1 else 1

作者简单定义了一些参数和损失函数类型。我已经将一些参数的设定值标注在后面,便于大家理解。作者定义了四个损失函数,但是只用到了三个,分别为

  • self.SmoothL1Loss 用于检测框的回归
  • self.SoftmaxLoss 用于前景和背景分类
  • self.IDLoss 用于计算embedding的损失

当然了,作者在论文中提到,JDE是一个多任务的学习,所以在计算损失函数的时候,需要采用任务独立不确定性(task-independent uncertainty)的自动学习方案进行以上三个损失函数的求和,有关参数在上述代码中已经定义,分别为

  • self.s_c
  • self.s_r
  • self.s_id

这在上图中也有体现。该部分的核心代码如下

    def forward(self, p_cat,  img_size, targets=None, classifier=None, test_emb=False):
        p, p_emb = p_cat[:, :24, ...], p_cat[:, 24:, ...]
        nB, nGh, nGw = p.shape[0], p.shape[-2], p.shape[-1]

        if self.img_size != img_size:
            create_grids(self, img_size, nGh, nGw)

            if p.is_cuda:
                self.grid_xy = self.grid_xy.cuda()
                self.anchor_wh = self.anchor_wh.cuda()

        p = p.view(nB, self.nA, self.nC + 5, nGh, nGw).permute(0, 1, 3, 4, 2).contiguous()  # prediction
        
        p_emb = p_emb.permute(0,2,3,1).contiguous()
        p_box = p[..., :4]
        p_conf = p[..., 4:6].permute(0, 4, 1, 2, 3)  # Conf

        # Training
        if targets is not None:
            if test_emb:
                tconf, tbox, tids = build_targets_max(targets, self.anchor_vec.cuda(), self.nA, self.nC, nGh, nGw)
            else:
                tconf, tbox, tids = build_targets_thres(targets, self.anchor_vec.cuda(), self.nA, self.nC, nGh, nGw)
            tconf, tbox, tids = tconf.cuda(), tbox.cuda(), tids.cuda()
            mask = tconf > 0

            # Compute losses
            nT = sum([len(x) for x in targets])  # number of targets
            nM = mask.sum().float()  # number of anchors (assigned to targets)
            nP = torch.ones_like(mask).sum().float()
            if nM > 0:
                lbox = self.SmoothL1Loss(p_box[mask], tbox[mask])
            else:
                FT = torch.cuda.FloatTensor if p_conf.is_cuda else torch.FloatTensor
                lbox, lconf =  FT([0]), FT([0])
            lconf =  self.SoftmaxLoss(p_conf, tconf)
            lid = torch.Tensor(1).fill_(0).squeeze().cuda()
            emb_mask,_ = mask.max(1)
            
            # For convenience we use max(1) to decide the id, TODO: more reseanable strategy
            tids,_ = tids.max(1) 
            tids = tids[emb_mask]
            embedding = p_emb[emb_mask].contiguous()
            embedding = self.emb_scale * F.normalize(embedding)
            nI = emb_mask.sum().float()
            
            if  test_emb:
                if np.prod(embedding.shape)==0  or np.prod(tids.shape) == 0:
                    return torch.zeros(0, self.emb_dim+1).cuda()
                emb_and_gt = torch.cat([embedding, tids.float()], dim=1)
                return emb_and_gt
            
            if len(embedding) > 1:
                logits = classifier(embedding).contiguous()
                lid =  self.IDLoss(logits, tids.squeeze())

            # Sum loss components
            loss = torch.exp(-self.s_r)*lbox + torch.exp(-self.s_c)*lconf + torch.exp(-self.s_id)*lid + \
                   (self.s_r + self.s_c + self.s_id)
            loss *= 0.5

            return loss, loss.item(), lbox.item(), lconf.item(), lid.item(), nT

        else:
            p_conf = torch.softmax(p_conf, dim=1)[:,1,...].unsqueeze(-1)
            p_emb = F.normalize(p_emb.unsqueeze(1).repeat(1,self.nA,1,1,1).contiguous(), dim=-1)
            #p_emb_up = F.normalize(shift_tensor_vertically(p_emb, -self.shift[self.layer]), dim=-1)
            #p_emb_down = F.normalize(shift_tensor_vertically(p_emb, self.shift[self.layer]), dim=-1)
            p_cls = torch.zeros(nB,self.nA,nGh,nGw,1).cuda()               # Temp
            p = torch.cat([p_box, p_conf, p_cls, p_emb], dim=-1)
            #p = torch.cat([p_box, p_conf, p_cls, p_emb, p_emb_up, p_emb_down], dim=-1)
            p[..., :4] = decode_delta_map(p[..., :4], self.anchor_vec.to(p))
            p[..., :4] *= self.stride

            return p.view(nB, -1, p.shape[-1])

稍微有点冗长,我们来一一分析。

(1)前向预测信息的划分

首先作者将输出特征图划分为三部分,分别为

  • 包含embedding信息的p_emb
  • 包含检测框位置信息的p_box
  • 包含前景背景分类置信度的p_conf
        p_emb = p_emb.permute(0,2,3,1).contiguous()
        p_box = p[..., :4]
        p_conf = p[..., 4:6].permute(0, 4, 1, 2, 3)  # Conf

这对应上图中的

(2)监督信息的划分

其次,作者从真实的标签信息中抽取各自的监督信息,分别为

        # Training
        if targets is not None:
            if test_emb:
                tconf, tbox, tids = build_targets_max(targets, self.anchor_vec.cuda(), self.nA, self.nC, nGh, nGw)
            else:
                tconf, tbox, tids = build_targets_thres(targets, self.anchor_vec.cuda(), self.nA, self.nC, nGh, nGw)
            tconf, tbox, tids = tconf.cuda(), tbox.cuda(), tids.cuda()
            mask = tconf > 0

因为我们知道,想要高效地进行损失函数求解,最好将监督信息对应到网络输出格式。

(3)检测框回归损失和前景背景分类损失

接着作者计算检测框回归损失和前景背景分类损失。

            # Compute losses
            nT = sum([len(x) for x in targets])  # number of targets
            nM = mask.sum().float()  # number of anchors (assigned to targets)
            nP = torch.ones_like(mask).sum().float()
            if nM > 0:
                lbox = self.SmoothL1Loss(p_box[mask], tbox[mask])
            else:
                FT = torch.cuda.FloatTensor if p_conf.is_cuda else torch.FloatTensor
                lbox, lconf =  FT([0]), FT([0])
            lconf =  self.SoftmaxLoss(p_conf, tconf)
            lid = torch.Tensor(1).fill_(0).squeeze().cuda()
            emb_mask,_ = mask.max(1)

这里值得注意的是mask的设置。作者将被分配为目标(targets)的anchor设置mask,那么只考虑被分配为targets的anchor对应位置上的值来计算损失函数。

(4)embedding损失的计算

接着作者计算embedding损失,值得注意的是,在该过程中作者采用了前面提到的全连结层来获得embedding的高级语义信息(track ID)。然后使用常见用于分类任务的交叉熵损失函数。

具体代码如下:

            # For convenience we use max(1) to decide the id, TODO: more reseanable strategy
            tids,_ = tids.max(1) 
            tids = tids[emb_mask]
            embedding = p_emb[emb_mask].contiguous()
            embedding = self.emb_scale * F.normalize(embedding)
            nI = emb_mask.sum().float()
            
            if  test_emb:
                if np.prod(embedding.shape)==0  or np.prod(tids.shape) == 0:
                    return torch.zeros(0, self.emb_dim+1).cuda()
                emb_and_gt = torch.cat([embedding, tids.float()], dim=1)
                return emb_and_gt
            
            if len(embedding) > 1:
                logits = classifier(embedding).contiguous()
                lid =  self.IDLoss(logits, tids.squeeze())

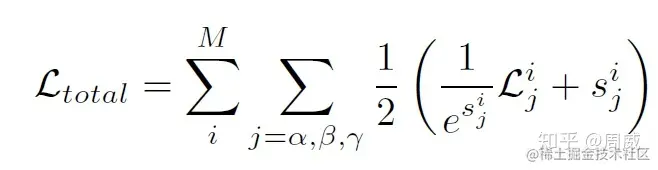
(5)总损失函数

最后,作者按照公式

对上面的三个损失进行求和。实现代码如下

            loss = torch.exp(-self.s_r)*lbox + torch.exp(-self.s_c)*lconf + torch.exp(-self.s_id)*lid + \
                   (self.s_r + self.s_c + self.s_id)
            loss *= 0.5

至此,有关predicition head的部分就讲解结束了。JDE的主体部分就介绍完了,其他细节,大家可以看一下原论文和代码,进行探索。

3 总结

tracking by detection是非常常见的MOT范式,但是目前MOT领域为了平衡追踪速度和精度,慢慢放弃了这种范式,转而投入将检测与embedding/匹配进行结合的范式研究中。本文介绍的JDE就是一个网络同时输出图像画面中的检测框位置和检测框内物体的embedding,从而加速MOT的速度。

但是值得注意的是,JDE只是同时输出了检测框和embedding信息。后面还是要通过卡尔曼滤波匈牙利算法进行目标的匹配。总的来说,还是分为检测和匹配双阶段。