方差

113 阅读1分钟

本文已参与「新人创作礼」活动, 一起开启掘金创作之路。

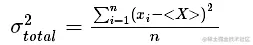
我们已经讨论过离散型分布的方差,在那里我们把随机变量的每个变量值xi实现概率看做1/n,把(X-)2的实现概率近似的看做1/N和1/(N-1)。从而得出总体方差和样本方差,即:

图片.png

图片.png

这些公式仅仅是经验公式,或者说仅仅是一种估计,所以很多时候我们称这些公式为估计量。方差的精确描述还是要依据理论公式。

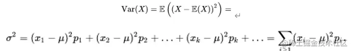
方差的理论公式分为两种类型:

随机变量离散分布的方差:

一个随机变量X,带有一个有限的或者无限可数的的值集合

图片.png

那么,我们称这个随机变量为离散分布随机变量。

图片.png

这里, 图片.png 是随机变量X获取xi(或者说X有实现xi时的概率)变量值时的概率。µ是X的期望值,离散的情况下也可称作平均值,它的计算如下:

图片.png

连续性分布随机变量的方差:

一个随机变量X被称为连续性分布随机变量,如果有一个这样的概率密度函数

图片.png

以致使概率分布函数

图片.png

对于任意实数t都能用下列等式来表达:

图片.png

从上面的定义我们可以看出,对于连续分布的随机变量人们只有通过概率密度函数才能对一段区间上的随机变量概率进行计算。

一个连续分布随机变量,或称作连续随机变量的方差可按下面的等式进行计算:

图片.png

图片.png