AB实验背后的秘密:样本量计算

avatar
前端工程师 @字节跳动

作者:松宝


前言

•背景:AB实验具有一定前瞻性,统计性,科学性的特性。用好了就实现了在大数据时代的充分利用数据分析问题,解决问题,为决策提供强有力的依据,但是有时候用户在使用AB实验时候,会出现一些痛点和疑惑。•痛点:•每次实验需要多少流量•实验时间开多长没有概念•解决问题:•为了验证某一个功能特性,一个实验需要开多少流量。•一个实验需要开多长时间

统计基础概念

研究对象

总体X:研究问题某个数量指标。

入手点

个体:总体中的一个元素 xi 样本:一部分个体 Xi

统计量(工具)

常见统计量:

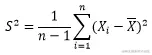
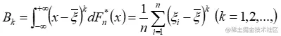
(1)样本均值 反映出总体X数学期望。

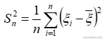
图片 (2)样本方差 方差 是各数据偏离平均值 差值的平方和 的平均数。反映的是总体X方差。

图片

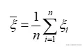
    样本修正

图片

    得出

图片

(3)样本均方差 

  均方差就是标准差,标准差就是均方差。

  图片

  对上面公式开平方。

(4)样本 K 阶矩

  图片

(5)样本 K 阶中心矩

图片

抽样分布

这里不做详细的叙述,后续推导中需要使用到以上概念,具体可以参考网上介绍。

•标准正态分布N(0, 1) •Ka方分布 •t-分布 •F-分布

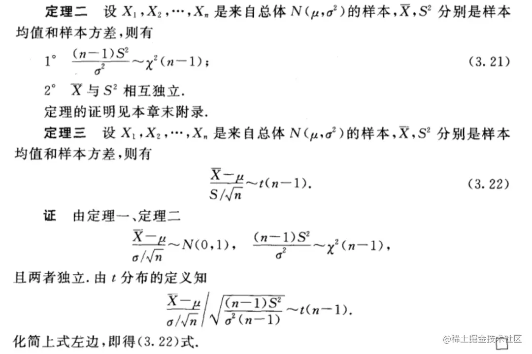
5、抽样定理

简单介绍几个抽样定理

图片

图片

6、参数估计

通俗的说:样本参数去估计总体的参数。举个🌰:

•样本均值估计总体均值,•用样本比例去估计总体比例,•用样本方差估计总体方差

(1)分类:点估计和区间估计

•点估计通俗的说:用样本的统计量的值直接作为总体参数的估计值。•区间估计通俗的说:在点估计的基础上,给出总体参数估计的一个区间范围。

(2)置信区间和置信水平 

通俗的说:区间估计中,样本统计量构造的总体参数的估计区间,称为置信区间。举个🌰:

100个样本,每一个样本构造一个置信区间,100个样本构造的总体参数的100个置信区间中,有95%的区间包含了总体参数的真值,5%则没有包含。

  大样本下,样本均值的置信区间:

图片

(3)总体均值的区间估计原理

 大样本下,根据中心极限定理,可以得到的样本均值的抽样分布。

图片

7、假设检验

我们来看一下一个简单的假设性检验的例子: 

根据水稻长势,估计平均亩产310kg,收割时,抽取10块地,测平均亩产320kg,如水稻产量服从正态分布N(u, 144),问所估计平均亩产是否正确?(a = 0.05,Z0.05 = 1.645,Z0.025 = 1.96) 

分析:当方差已经的情况下,使用Z检验;未知的时候,使用t检验

图片

图片

图片

一个简单并完整的AB实验例子

1、背景和设置

•背景:有个web应用,接入火山引擎的AB测试客户端sdk,上报各种事件埋点。•确认优化的目标:注册流程改版,从而提供注册转换率。•注册流程的A/B测试:之前是使用了图片校验码的方式,但是注册转化率偏低。提出设想:图片校验码方式改成短信校验码方式,是因为降低了用户输入的难度从而可以提高注册转换率。•我们设置•核心指标:注册转化率•设置版本:1个对照版本(图片校验码)。1个实验版本(短信验证码)。•设置版本流量:总流量我们设置50%,各个版本均匀分配。•web应用引入我们客户端分流sdk的,然后将版本代码插入到项目中。

2、结果分析

分别为两个版本分配了25%的用户流量,通过2个自然周左右的实验观察,数据显示。

结果:新版本(短信校验码)的注册转化率提升了接近10%,并且95%置信区间是[8%, 12%],

分析:说明这个实验版本推广到全量用户之后,95%的概率下至少会有8%到12%的提升。

决策:基于这个实验结果,产品经理选择将新版本注册流程推送给全部用户,显著提升了注册转化率。

详细介绍样本量计算

注册流程改版例子🌰

实验运行后,用户开始进组。 

1天后数据统计

图片

这就能说明:短信验证码的功能有效提高注册转换率?

2天后数据统计

图片

这就能说明:图片验证码的功能有效提高注册转换率?

那么到底,注册流程改版对于提高注册转换率是否有显著性提高呢?暂时是不能给出结论的,因为数据样本还不够大,不能充分说明。

 理论上:样本量越多越好。现实上:1、自身样本不够大;2、试错成本大。

选择样本数量是个技术活:样本量太小,实验不严谨;样本量太大,老板不高兴。

那么样本太小带来的问题是什么呢?样本太小导致没有统计学意义,而且会出现样本偏差情况,可能会造成“假阳性”的实验结论等问题。

那么样本太大带来的问题是什么呢?首先我们需要知道样本并不是总体,我们通过样本来替代样本太大会造成实验成本增加,以及产品本身的试错成本等。

那么问题来了:如何确定一个“最小”的样本数量,在保证实验“可靠性”的同时,不会浪费过多流量?


最小样本公式

统计学里有最小样本量计算的公式:

图片

说明: 

(1)n是每组所需样本量,因为A/B测试一般至少2组,所以实验所需样本量为2n;

(2)α和β分别称为第一类错误概率和第二类错误概率,一般分别取0.05和0.2;

(3)Z为正态分布的分位数函数;

(4)Δ为两组数值的差异,如注册转换率50%到60%,那么Δ就是10%;

(5)σ为标准差,是数值波动性的衡量,σ越大表示数值波动越厉害。

从而可知:实验两组数值差异Δ越大或者数值波动性σ越小,所需要的样本量就越小。

其中很多同学可能对于「第一类错误」和「第二类错误」不是很清楚。我们来简单解释一下:

(1)第一类错误:H0为真,拒绝H0。“本身没提升,但误判为有提升”

(2)第二类错误:H1为真,接受H0。“本身有提升,但没有察觉提升”

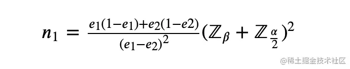
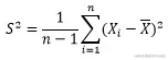
方法一:假设两个转换率方差相等

条件:假设两个转换率的方差(可变性)相等。  

上面公式转换为:

图片

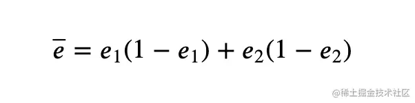
说明:

(1)e1和e2是真实的注册转换率。

(2)e 是合并方差估计量。

(3)α是显著性水平(通常α = 0.05)

(4)β是期望功效(通常β = 0.8)

(5)Zβ和Zα/2针对给定参数的临界值α和β

固定值:α = 0.05时,Zα/2 = 1.96。β = 0.8时,Zβ = 0.84。

【注册流程改版例子🌰】具体计算过程:

1. 两个版本权重相等的情况 

这里使用合并估计量作为方差。

图片

如果我们不假设两个转换率的方差相等,则公式会略有不同,后边给出 代入公式,得到最终的样本的公式:

图片

我们来真实计算一下:1、注册转换率e1为50%,e2为60% 2、假设最小标准值为0.8的期望功效 3、显著性水平α为0.05

图片

因此。每组(对照组和实验组)的最小样本量为385。

\

2. 两个版本的注册转换率权重不等的情况 

这种情况下,第一步,假设各组大小相等,计算总样本量;然后,可以根据两组实际比率k来调整此总样本量大小N,而修改后的总样本大小N ',可以通过下面公式来计算:

图片

以上两组中,每个样本的样本大小分别为 N '/(1 + k_)和 _kN '/(1 + k)。

小结

假定两组的总体方差相等,在方差的计算方式上有区别,这类公式不推荐,因为该假设在AB实验应用中并不常见。

方法二: 使用假设性检验

适用范围:

•   假设性检验本身可以对单个总体参数或者两个总体参数进行。•  假设的内容可以是双侧检验。比如参数是否等于某个值,还可以参数是否大于或者小于某个值。**
**具体检测和推算 原假设H0:μ1=μ2

备择假设H1:μ1≠μ2

构造统计量 条件:两个样本间,相互独立,且样本量大。我们实际进行两总体均值差是否为0的双侧检验

图片

实际计算中,总体方差可以用样本方差代替,原假设的背景下u1 - u2 = 0,所以计算统计量z,所需要的数据都可以依据样本得到。

计算原理

下图是概率密度曲线:

1、黄色是AA实验的均值差的分布,蓝色是AB实验(以指标提升为例)的均值差的分布。

2、两个红箭头分别标示 -1.96指标标准差 +1.96指标标准差

图片    power 即 蓝色曲线在红色(右)箭头右侧的面积,即显著实验的概率。

   delta是上图 蓝色的中轴位置,即 AB实验(以指标提升为例)的均值差的期望。

其中很多同学可能「power」和「delta」不是很清楚。我们来简单解释一下:

power:统计功效,原假设为假,拒绝愿假设的概率,等于( 1减第二类错误的概率)。

delta:均值差的期望。

具体推算

根据上面的概率密度曲线和power定义利用标准正态分布的分布函数可以计算power,包含了delta,指标方差,样本量 ;然后根据power公式反推每个版本的样本量。功效(power):正确拒绝原假设的概率,记作1-β, 即

power = 1- β(二类错误)

图片

公式:

图片

其中:

•σ 是标准差

•Φ是标准正态分布下某个X值对应的概率面积

•α是一类错误概率,叫它alpha

•β是二类错误概率,1-β是统计功效,叫它beta

假设检验的功效受以下三个因素影响:

•样本量 (n):其他条件保持不变,样本量越大,功效就越大。

•显著性水平 (α):其他条件保持不变,显著性水平越低,功效就越小。

•两总体之间的差异:其他条件保持不变,总体参数的真实值和估计值之间的差异越大,功效就越大。也可以说,效应量(effect size)越大,功效就越大。

代入实际计算变量: 

power = 1 - norm.cdf( norm.ppf(1 - α / 2) - np.sqrt( sample_per_version * (delta ** 2) / 2 * ( metric_variance ** 2 ) ) ) 

其中:

•cdf 累积分布函数,是概率密度函数的积分,能完整描述一个实随机变量X的概率分布。

•ppf 分位点函数

•sample_per_version 样本每个版本样本量

•metric_variance 指标方差

•delta 均值的差

根据power,反推出样本量公式:

图片

代入实际计算变量:

 

sample_per_version = 2 * (norm.ppf(1 - α / 2) - norm.ppf(β)) ** 2 * metric_variance / (delta ** 2)  

其中:

•ppf 分位点函数

•norm.ppf正态分布的累计分布函数的逆函数,即下分位点。

•alpha 默认5%,其中norm.ppf(1 - α / 2) = 1.96,norm.ppf(β)为映射值。•metric_variance 指标方差。

•delta 均值的差。

对上述公式做更简单的说,我们只需要知道如下值就可以计算样本量。 

(1)希望识别的最小差异,绝对差异(即delta)还是相对差异。 

(2)指标方差,方差会根据指标值估算。 

(3)alpha 默认是 5% 

(4)power 默认是 50%、80%、90%、99%、99.99%

可以使用火山引擎AB测试的流量样本建议工具

**
**

图片

最后

其实样本量计算在不同的场景下有不同的计算方式,但是我们针对于主要AB场景下针对可以科学计算置信度的指标,采用的一种计算样本量,从而指导AB实验的流量使用多少和指导实验开启多久。