图解卡尔曼滤波

172 阅读10分钟

from

卡尔曼滤波的作用

可以在动态系统中任何有不确定信息的地方使用卡尔曼滤波器,也可以对系统下一步将要干什么做出猜测。即使你想要得到的动作 (motion ) 伴随着大量干扰,卡尔曼滤波器通常都能够得出到底发生了什么。而且它可以利用人们无法读懂的杂乱现象间的相关性。

下面的内容需要对概率和矩阵有一些基本的理解。

一个具体的例子————我们能用卡尔曼滤波做什么

我们举个玩具的例子:你做了一个小机器人,它可以在树林里散步,所以机器人想要导航就需要知道它的精确位置。

image.png

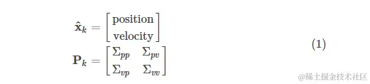
我们说机器人有一个状态 xk\overrightarrow{x_k},包含速度与位置

xk=(p,v) \overrightarrow{x_k} = (\overrightarrow{p},\overrightarrow{v})

在这个例子中,状态就是位置和速度,但是它可以是油罐中液体的总量数据、引擎的温度、用户手指在平板上的位置,或者任何你想要观察的数据。

我们的机器人有一个 GPS ,精确约为 10米,状态良好,但是我们对机器人定位的精度要求高于10米。树林里有很多沟和崖,如果机器人走错几英尺,就可能跌落悬崖。所以仅有 GPS 是不够的。

我们还需要知道机器人是怎样移动的:它知道发送给马达的命令,知道是否朝向某个方向,没有障碍,下一步,它可能就沿着这个方向前进。当然,它不可能知道运动过程中的所有状况:它可能被风刮倒,车轮可能打滑,或者在颠簸的路面侧翻;所以轮子的转角并不能精确的表示机器人走了多远,这个预测不是完美的。

GPS 告诉我们一些状态,但只是间接的,并且带有一些不确定性和干扰。我们 预测 机器人是如何运动的,但也是间接的,带有不确定性和干扰。

但是,如果我们使用所有能够获取的信息,我们可以得到一个比这两个由各自传感器得到的估计更好的答案吗?答案当然是肯定的,这就是卡尔曼滤波器要做的。

卡尔曼滤波如何看待这个例子

让我们看看试图解释的场景。继续使用只有位置和速度的状态。

x=[pv] \overrightarrow{x} = \begin{bmatrix} p \\ v \\ \end{bmatrix}

我们并不知道实际的位置和速度;有一系列可能的位置与速度的组合,但是其中的一些可能性更高:

image.png

卡尔曼滤波器假设所有的变量(本例中为:位置、速度)都是随机高斯分布(正态分布)的。每个变量都有一个期望μ\mu方差σ2\sigma^2

image.png

在上图中,位置和速度是不相关的,这意味着一个变量的状态无法告诉您另一个变量可能是什么。

下面的例子中:位置和速度是相关的。一个指定位置的可能观测值取决于速度:

这种情况一般发生在:我们根据之前的位置估计当前位置。如果速度很快,就会移动很远。反之,就会很近。

这种关系在跟踪定位时非常重要,因为这会提供更多信息:一个测量值告诉我们其他测量值的可能范围。这就是卡尔曼滤波器的目标,我们希望从不确定的测量值中得到尽可能多的信息。 这种相关性由协方差矩阵给出。简单来说,协方差矩阵的每个元素ij\sum_{ij}都是 第i个状态变量和第j个状态变量的相关程度。(所以协方差矩阵是对称的,交换i和j并不影响)。协方差矩阵通常用“\sum_{}”表示,所以将其元素称为“ij\sum_{ij}”。

用矩阵描述问题

对高斯斑点进行建模,我们需要两个信息:在k时刻,最佳估计 x^\hat{x}(期望μ\mu),协方差矩阵PkP_k

image.png

(公式中只使用了本例中的位置和速度。)

接下来,我们看一下当前状态(时刻:k-1 )和预测下一状态 (时刻:k )。我们并不知道哪个状态是真实的,但是预测方程并不关心。它根据所有可能状态,给出一个新的分布:

我们可以用矩阵FkF_k表示该预测步骤:

它根据原始状态的每一个点,得到新的预测。(如果原始状态中包含真实状态,则预测状态中也包含真实状态)。

我们怎样使用一个矩阵来预测下一时刻的位置和速度?我们将使用基本的运动学方程:

image.png

即:

image.png

我们现在有了预测下一状态的预测矩阵,但是任然不知道怎样更新协方差矩阵。

我们需要另一个方程。如果我们对分布中的每一个点乘以一个矩阵 AA ,那么协方差矩阵 ΣΣ

这比较简单,我将直接给出:

image.png

由 (4)(4)式和(3)(3)式可得:

image.png

外部影响

不过,我们还没有捕捉到所有信息。可能有一些与状态本身无关的变化————外部世界可能会影响系统。

例如,如果状态模拟火车的运动,火车操作员可能会踩油门,导致火车加速。如果我们知道这个关于世界上正在发生的事情的额外信息,我们可以将它填充到一个名为uk\overrightarrow{u_k}的向量中,将它作为修正添加到我们的预测中。

假设我们知道由于油门设置或控制命令导致的预期加速度a。从基本运动学我们得到(偷个懒,直接截图公式):

image.png

矩阵形式:

image.png

BkB_{k}被称为控制矩阵,uk\overrightarrow{u_k}被称为控制向量。

让我们再考虑一个细节。如果我们的预测不是对实际情况的 100% 准确模型,会发生什么?

外部的不确定性

如果状态只根据自身的属性变化,则没有问题。如果状态同时根据外部作用变化,只要我们知道外部作用力的属性,也没有问题。

但是,如果是我们不知道的力呢?比如,四旋翼在飞行中会受到阵风的影响。轮式机器人的轮子可能打滑。如果这种情况发生,而我们没有考虑这些外部因素,我们将无法继续保持对机器的追踪。

我们可以在每一步预测之后增加一些新的不确定因素,以完成对机器人相关的不确定性建模。

image.png

在原始估计中的每一个状态都能够转移到一定状态范围。可以说,因为高斯斑,在 xk1^\hat{x_{k-1}}的每一个点,都移动到了一个协方差为QkQ_k的高斯斑中。换一种说法就是,我们将不确定的影响看作是协方差QkQ_k的噪声。

image.png

这会产生一个新的高斯斑,有新的协方差(相同的期望):

这个扩展的协方差通过加QkQ_k得到,所以完整的预测表达式:

image.png

也就是说,新的最优估计是由上一时刻的最优估计进行预测,加上已知外部影响修正得到的。

新的不确定性是由上一时刻的不确定性进行预测,加上一些环境中额外的不确定性

现在,我们有了系统当前状态的模糊估计xk^\hat{x_k} 和PkP_{k}。接下来看看从传感器获取数据时发生了什么。

测量值校正估计

我们可能有多个能反映系统状态的传感器。目前,它们测量的是什么并不影响;可能一个测量位置,其他测量速度。每个传感器都间接的给出了一些状态信息,也可以说是传感器作用于一个状态,并产生了一系列读数

image.png

读数的单位和量程可能与状态的不同,我们用矩阵Hk\boldsymbol{H_k}对传感器建模。

image.png

我们能够得到传感器读数的分布:

image.png

卡尔曼滤波适合于处理传感器的噪声。也就是说,传感器多少都会有些不可靠性,原始估计中的每一个状态的传感器读数都会是一个范围值。

从我们观测到的每一个读数,我们可能猜测系统在一个特定的状态。但是因为存在不确定性,观测到的数据中某些状态的可能性会比较高。

称这个不确定性(传感器噪声)的协方差Rk\boldsymbol{R_k}。该分布的期望和观测到的读数相同 ,称为zk\overrightarrow{z_k}

现在,我们得到两个高斯斑:一个表示系统状态预测;一个表示传感器读数。

我们必须设法协调基于预测状态的猜测和基于传感器读数的猜测。

所以,我们的新状态是什么呢? 对于任何可能的读数 (z1,z2)(z_1,z_2) ,有两个相关的概率:(1)传感器读数 zk\overrightarrow{z_k}(z1,z2)(z_1,z_2)的(误)测量,(2)之前的估计认为 (z1,z2)(z_1,z_2)就是我们应该看到的读数。

如果我们有两个概率,想知道两个都是真的概率,只要把它们相乘即可。因此,我们取两个高斯斑并将其相乘:

image.png 剩下的是重叠部分,原来两个高斯斑都较 亮/可能 的部分。这个结果比之前两个高斯斑都更精确。这个分布的期望是根据两个估计都是最可能的配置得到的,因此,这就是根据我们所有信息能够给出的真实配置的最佳猜测。

恩。。。看起来像是另一个高斯斑。

事实上,当你将两个不同的高斯斑相乘的时候,就得到了一个全新的高斯斑! 我们正在做的就是:得到一个方程,可以从之前的状态获取新的状态。

与高斯分布的结合

首先,来看最简单的一维情况。一维高斯曲线(方差:σ2\sigma^2, 期望: μ\mu):

image.png

两个高斯曲线相乘的情况,下面的蓝色曲线表示两个高斯总体的(未归一化的)交集:

image.png

image.png

将(9)式带入 (10)式中,得到:

image.png

简化为:

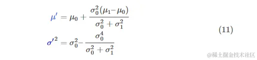
image.png

注意你怎样通过之前的估计添加修正,获得当前的估计。看看这个方程多么简单!

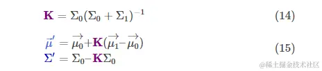
将式(12)和(13)重写为矩阵形式。假设 Σ 是协方差矩阵,μ\overrightarrow{\mu}为期望。

image.png

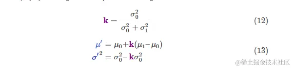
k\boldsymbol{k} 被称为卡尔曼增益,我们会在迭代的过程中使用它。

综上所述

image.png

总结

文中所有的数学公式,你需要使用的是:(7)(18)(19)。(如果你忘了这些,还可以从式(4)(15)重新推导)

这可以对任何线性系统进行精确建模。对于非线性系统,可以使用扩展卡尔曼滤波,就是对期望值的预测和测量线性化。(我可能在以后再写一个 EKF的文章)。

如果这篇文章写的还不错,希望人们能够意识到卡尔曼滤波有多么酷,并把它应用到一些新的领域。


相关的推导和证明可以参看这篇文章
文中使用了相似的方法介绍重叠的高斯分布。如果感兴趣的话,可以在文章中找到深入的推导。