携手创作,共同成长!这是我参与「掘金日新计划 · 8 月更文挑战」的第13天 每日一题,二叉树中增加一行

48 阅读2分钟

今天小魏继续为大家带来新的题目

题目如下

给定一个二叉树的根 root 和两个整数 val 和 depth ,在给定的深度 depth 处添加一个值为 val 的节点行。

注意,根节点 root 位于深度 1 。

加法规则如下:

给定整数 depth,对于深度为 depth - 1 的每个非空树节点 cur ,创建两个值为 val 的树节点作为 cur 的左子树根和右子树根。
cur 原来的左子树应该是新的左子树根的左子树。
cur 原来的右子树应该是新的右子树根的右子树。
如果 depth == 1 意味着 depth - 1 根本没有深度,那么创建一个树节点,值 val 作为整个原始树的新根,而原始树就是新根的左子树。

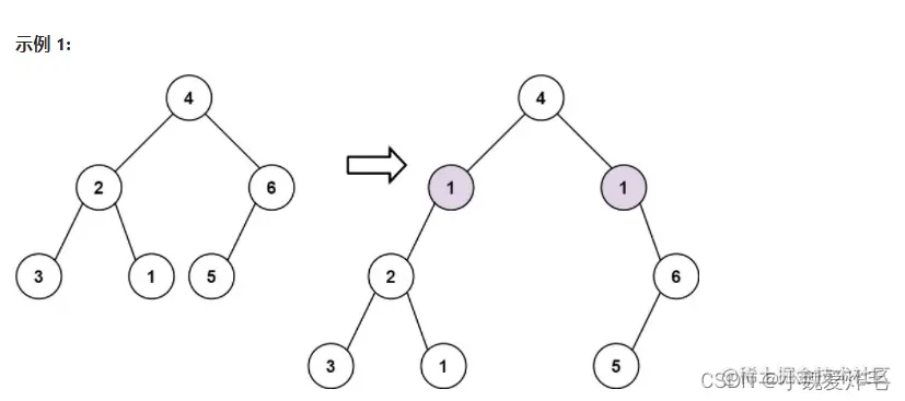
示例 1:

输入: root = [4,2,6,3,1,5], val = 1, depth = 2
输出: [4,1,1,2,null,null,6,3,1,5]

​编辑
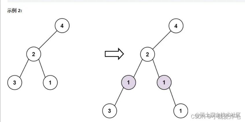
示例 2:

输入: root = [4,2,null,3,1], val = 1, depth = 3
输出:  [4,2,null,1,1,3,null,null,1]

​编辑

来源:力扣(LeetCode)
链接:leetcode.cn/problems/ad… 著作权归领扣网络所有。商业转载请联系官方授权,非商业转载请注明出处。

这个输出结果是二叉树的层序遍历

我们上代码

class Solution {
    public TreeNode addOneRow(TreeNode root, int val, int depth) {
       
        if (root == null) {
            return null;//当为空树的时候,返回空值
        }
        if (depth == 1) {
            return new TreeNode(val, root, null);//当深度为1时,创建一个新的结点作为新的根节点,而此时原来的根节点就是创建的新的根节点的左子树
        }
        if (depth == 2) {
            root.left = new TreeNode(val, root.left, null);//如果深度为2,那么根据题意在深度为1的地方插入, 插入的val作为原来左子树的根结点,原来的左子树根节点作为新的左子树结点所在的根节点之下左子树的根节点
            root.right = new TreeNode(val, null, root.right);

//如果深度为2,那么根据题意在深度为1的地方插入, 插入的val作为原来右子树的根结点,原来右子树根节点作为新的左右子树结点所在的根节点之下右子树的根节点

        } else {//深度大于2的时候,我们选择递归的的方式,每次遍历,深度都减1,直到找到深度为2的结点,递归结束,返回root结点
            root.left = addOneRow(root.left, val, depth - 1);
            root.right = addOneRow(root.right, val, depth - 1);
        }
        return root;
    }

}

以上就是我今天的分享,我们下期再见!

​ 今天的分享就到这,我们下期再见886🤗🤗🤗