git cherry-pick指令详解

1,294 阅读2分钟

git cherry-pick指令 如果想要将某一分支的代码转移到另外一个分支,常见的做法是 merge 或者 rebase 指令,但是如果想要将某一分支的某次(或某些)提交转移到另外一个分支,就需要使用 cherry-pick 指令。

一、转移某次提交

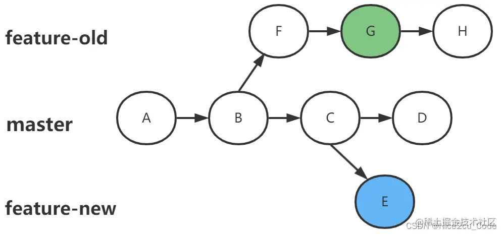
比如仓库中有 master、feature-new 和 feature-old 分支,如下图所示:

image.png

现在想要将 feature-old 分支的 G 提交应用到 feature-new 分支。执行如下指令:

# 假设现在在master分支

# 从master分支切换到feature-new(要接收别的分支某次提交转移的分支)
git checkout feature-new

# 执行转移操作:git cherry-pick <commitHash>
git cherry-pick G

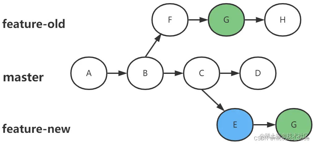
执行完上述命令,代码库如下图所示:

image.png

也就是 feature-new 分支末尾增加了一次新提交 G。

注意: cherry-pick 指令的参数不一定是提交的哈希值,分支名也是可以的,表示转移该分支的最新提交,如下所示:

# 将feature-old分支的最新一次提交H转移到当前分支
git cherry-pick feature-old

二、转移某些提交

git cherry-pick <commitHashA> <commitHashA> 

上面的命令将 A 和 B 两个提交应用到当前分支,这会在当前分支生成两个对应的新提交。

如果想要转移一系列的连续提交,可以使用下面的简便语法:

git cherry-pick A..B

上面的命令可以转移从 A 到 B 的所有提交,它们必须按照正确的顺序放置:提交 A 必须早于提交 B,否则命令将失败,但不会报错。

注意:使用上面的命令,提交 A 将不会包含在 cherry-pick 中。如果要包含提交 A,可以使用下面的语法:

git cherry-pick A^..B 

三、代码冲突

3.1 --continue

git cherry-pick --continue

用户解决代码冲突后,首先将修改的文件重新加入暂存区(git add .),然后使用上述命令,让 cherry-pick 过程继续执行。

3.2 --abort

git cherry-pick --abort

发生代码冲突后,放弃合并,回到操作前的样子。

3.3 --quit

git cherry-pick --quit

发生代码冲突后,退出 cherry-pick ,但是不回到操作前的样子。

原文链接:blog.csdn.net/weixin_4934…