LeetCode 230:二叉搜索树中第K小的元素

783 阅读1分钟

二叉搜索树中第K小的元素

题目描述:

给定一个二叉搜索树的根节点 root ,和一个整数 k ,请你设计一个算法查找其中第 k 个最小元素(从 1 开始计数)。

示例 1: 

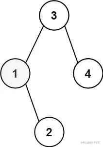
输入: root = [3,1,4,null,2], k = 1
 输出:1

 示例 2:

输入: root = [5,3,6,2,4,null,null,1], k = 3
输出:3

解题思路 

先来了解下二叉搜索树
二叉搜索树具有如下性质:

  • 结点的左子树只包含小于当前结点的数。
  • 结点的右子树只包含大于当前结点的数。
  • 所有左子树和右子树自身必须也是二叉搜索树。

思路一:递归

中序遍历其实是对其进行排序操作,并且是按从小到大的顺序排序,所以输出第k个即可

/**
 * @param {TreeNode} root
 * @param {number} k
 * @return {number}
 */
var kthSmallest = function(root, k) {
    let res = null;
    let inOrderTraverseNode = function (node) {
        if (node !== null && k > 0) {
            // 先遍历左子树
            inOrderTraverseNode(node.left);
            // 
            if (--k === 0) {
                res = node.val;
                return;
            }
            inOrderTraverseNode(node.right);
        }
    }
    inOrderTraverseNode(root);
    return res;
};

时间复杂度: O(K)

空间复杂度: O(1),不考虑递归栈所占用的空间,空间复杂度为O(1)

思路二:迭代

/**
 * @param {TreeNode} root
 * @param {number} k
 * @return {number}
 */
var kthSmallest = function(root, k) {
    let stack = [], node = root;
    while(node || stack.length) {
        // 遍历左子树
        while(node) {
            stack.push(node);
            node = node.left;
        }
        node = stack.pop();
        if (--k === 0) {
            return node.val;
        }
        node = node.right;
    }
    return null;
};

时间复杂度: O(H + K), H是树的高度, 先到达叶子位置(最小节点位置),复杂度为 O(H),然后找到第 K 小的元素,复杂度为 O(K)。整体复杂度为 O(H + K)

空间复杂度: O(H), 栈中最多需要存储 H 个元素

参考资料

二叉搜索树中第K小的元素 - 二叉搜索树中第K小的元素 - 力扣(LeetCode)