JavaScript链表---双向链表和循环链表

102 阅读1分钟

携手创作,共同成长!这是我参与「掘金日新计划 · 8 月更文挑战」的第7天,点击查看活动详情 >>

双向链表

简介

上一篇介绍了单向链表,我们发现从链表的头部通过next向后遍历链表很简单,但是从后向前遍历却不容易。既然我们可以把下一个节点存起来,那也可以定义一个prev属性,来指向上一个节点,这样就形成了双向链表

在这里插入图片描述

实现

首先在Node类中增加一个prev属性

class Node {
  constructor(element) {
    this.element = element; // 当前节点数据
    this.next = null; // 下一个节点的链接
    this.prev = null; // 上一个节点的链接
  }
}

插入节点

将新节点的next指向给定节点的next,新节点的prev指向给定节点

将给定节点nextprev指向新节点指向新节点,给定节点的next指向新节点

在这里插入图片描述


  insert(item, newElement) {
    let newNode = new Node(newElement);
    let currNode = this.find(item);

    newNode.next = currNode.next;
    newNode.prev = currNode;
    if (currNode.next) {
      currNode.next.prev = newNode;
    }
    currNode.next = newNode;
  }

删除节点

将需要删除节点的prevnext指向需要删除节点的next

将需要删除节点的nextprev指向需要删除节点的prev

在这里插入图片描述


  remove(item) {
    let currNode = this.find(item);
    if (currNode.prev !== null) {
      currNode.prev.next = currNode.next;
    }
    if (currNode.next !== null) {
      currNode.next.prev = currNode.prev;
    }
    currNode.next = null;
    currNode.prev = null;
  }

点击查看源码,在线试一试

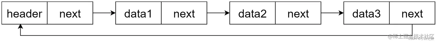
循环链表

简介

循环链表和单向链表类似,唯一的区别是,其尾节点的 next 属性指向头结点。在创建时,头结点的next就是他本身。

在这里插入图片描述

实现

class Node {
  constructor(element) {
    this.element = element; // 当前节点数据
    this.next = null; // 下一个节点的链接
  }
}

class LList {
  constructor() {
    this.head = new Node("head"); // 头节点
    this.head.next = this.head;
  }