Gauß分布

103 阅读2分钟

本文已参与「新人创作礼」活动, 一起开启掘金创作之路。

一个连续的随机变量X,如果它的概率密度可以通过下面的等式来定义。

图片.png

 

那么我们就可以说这个随机变量是按高斯分布的,或者说这个随机变量的概率分布是高斯分布。

 

随机变量X实际上是一个函数,而x是随机变量X的一个函数值。这个值是把一个事件ω实现后的结果,也即下面等式成立:

 

图片.png

 

通俗点讲,随机变量X要想拥有x函数值的概率密度是f(x),也就是说X处于x状态时的概率密度是f(x).

 

下面我们通过一个物理的小例子来解释下究竟什么是概率密度。

图片.png

这里我们把概率密度理解为一个电子(带电粒子)在单位时间内出现在单位体积内的概率,也就是上图所示一秒内带电粒子在那个小立方体中出现的概率。

这说明它与µ和σ两个参数相关。µ和σ分别是期望值和方差。不同的期望值和方差可以得到不同的高斯曲线。

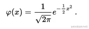
例如:当µ = 0和σ2=1时,我们有:

图片.png

我们称这种高斯分布为标准正态分布。下面是它的分布函数

图片.png

正态分布概率分布函数可以通过下面的等式进行定义:

图片.png

最终可以直接写成:

图片.png

高斯分布的概率密度函数和概率分布函数的对称性:

 

概率密度函数的外形是一种高斯钟形曲线,它的高度和宽度与σ有关(σ越大曲线越宽越矮)。直线x=u是它的对称轴,也就是说随机变量的概率密度是围绕着期望值对称分布的。