[每日一题] leetcode 998. 最大二叉树 II

79 阅读1分钟

本文已参与「新人创作礼」活动,一起开启掘金创作之路。

998. 最大二叉树 II

最大树定义:一棵树,并满足:其中每个节点的值都大于其子树中的任何其他值。最大树 定义:一棵树,并满足:其中每个节点的值都大于其子树中的任何其他值。

给你最大树的根节点root和一个整数val给你最大树的根节点 root 和一个整数 val 。

就像之前的问题那样,给定的树是利用Construct(a) 例程从列表 aroot=Construct(a))递归地构建的:就像 之前的问题 那样,给定的树是利用 Construct(a) 例程从列表 a(root = Construct(a))递归地构建的:

如果a为空,返回 null如果 a 为空,返回 null 。 否则,令 a[i]作为a的最大元素。创建一个值为 a[i] 的根节点root否则,令 a[i] 作为 a 的最大元素。创建一个值为 a[i] 的根节点 root 。 root 的左子树将被构建为 Construct([a[0],a[1],...,a[i1]])root 的左子树将被构建为 Construct([a[0], a[1], ..., a[i - 1]]) 。 root 的右子树将被构建为 Construct([a[i+1],a[i+2],...,a[a.length1]])。返回 rootroot 的右子树将被构建为 Construct([a[i + 1], a[i + 2], ..., a[a.length - 1]]) 。 返回 root 。 请注意,题目没有直接给出a,只是给出一个根节点 root=Construct(a)请注意,题目没有直接给出 a ,只是给出一个根节点 root = Construct(a) 。

假设ba的副本,并在末尾附加值val。题目数据保证b中的值互不相同。假设 b 是 a 的副本,并在末尾附加值 val。题目数据保证 b 中的值互不相同。

返回 Construct(b)返回 Construct(b) 。

 

示例 1:

image.png image.png

输入:root = [4,1,3,null,null,2], val = 5
输出:[5,4,null,1,3,null,null,2]
解释:a = [1,4,2,3], b = [1,4,2,3,5]

示例 2:

image.png image.png

输入:root = [5,2,4,null,1], val = 3
输出:[5,2,4,null,1,null,3]
解释:a = [2,1,5,4], b = [2,1,5,4,3]

示例 3:

输入:root = [5,2,3,null,1], val = 4
输出:[5,2,4,null,1,3]
解释:a = [2,1,5,3], b = [2,1,5,3,4]

 

数据范围:

树中节点数目在范围 [1, 100] 内
1 <= Node.val <= 100
树中的所有值 互不相同
1 <= val <= 100

思路

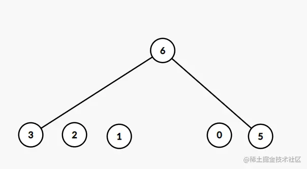
首先要搞清楚是如何构建这颗树的 比如 [3,2,1,6,0,5]的构造

image.png image.png image.png

最后形成这样一颗树

image.png

若是我们要插入一个新节点,有哪几种情况呢?
若是大于当前点,当前点是不是一定是他的左儿子
(因为新的点一定插入在最后面)
若是大于所有点,是不是相当于所有点都是这个点的左子树
所以,递归的去分割即可

代码

class Solution {
    TreeNode* rebuild(TreeNode* root, TreeNode* now) {
        if (root->val < now->val) {
            now->left = root;
            root = now;
        } else {
            if (root->right == nullptr) root->right = now;
            else {
                if (root->right->val < now->val) {
                    now->left = root->right;
                    root->right = now;
                } else {
                    root->right = rebuild(root->right, now);
                }
            }
        }
        return root;
    }
public:
    TreeNode* insertIntoMaxTree(TreeNode* root, int val) {
        root = rebuild(root, new TreeNode(val));
        return root;
    }
};