已知顶点坐标求多边形的面积

701 阅读1分钟

让我们从三角形开始,当原点在三角形内部的时候,用虚线连接3个顶点,可以看到,虚线将这个三角形额外分成了3个三角形。

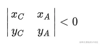
矩阵行列式有以下意义:

以两个向量为一组邻边的平行四边形的有向面积。

如果第二个向量相对于第一个向量逆时针旋转了0~180°,那么面积为正数;

如果第二个向量相对于第一个向量顺时针旋转了0~180°,那么面积为负数。

回到上面那张图,所以:

原点在内部时这个公式成立,但是原点在外部时又如何呢?

其实也没问题。

这张图中,从OC往OA是顺时针旋转的,所以:

于是行列式相加后还是

上面有个共同特点,A→B→C→A,整体是逆时针绕了个圈,

但是遇到以下情况,那就是顺时针绕圈,这样算出面积的结果将会是负数。

不只是三角形,其实只要是多边形都可以,比如说下面长相奇特的五边形。

除了AOE的4个三角形有向面积相加,那么右下会多出一块,但是加上AOE,又正好把多出的这块抵消掉了。

只要连接成了以原点为其中一个顶点的三角形,就能用行列式算面积,然后用这些行列式的和,就可以推广到不以原点做顶点的任何多边形。

二阶矩阵行列式算法如下:

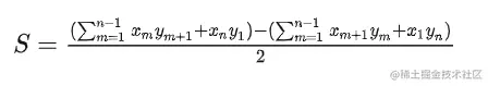
所以我们可以得到:

把第奇数项合在一起,第偶数项合在一起,得到: