动差生成函数和累积量

590 阅读1分钟

本文已参与「新人创作礼」活动, 一起开启掘金创作之路。

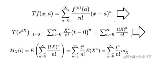
动差又被称为矩,随机变量X的动差生成函数或叫做矩母函数可以通过下面的等式进行定义:

图片.png

其中 图片.png图片.png 是变量X的n阶矩。矩母函数依赖于随机变量X的分布。如果一个分布的随机变量X的矩母函数在t=0的邻域存在,那我们就说这个分布有矩母函数,这种说法虽然有点不十分精确,但却十分常见。如果一个分布的矩母函数只在t=0的情况下存在,那么人们就可以说,这个分布没有矩母函数。

 

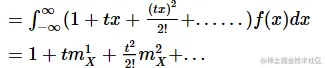
我们继续假定这个随机变量X是连续随机变量,那么 图片.png 的期望值,也就是矩母函数是:

图片.png

图片.png

其中 图片.png 是随机变量X的k阶矩。

多维矩母函数:

现在我们从实数随机变量转换到矢量随机变量上来:

图片.png

累积量:

给定随机变量X的矩母函数,那么函数:

图片.png

叫做累计生成函数。分布X(随机变量X的分布)的n阶累积量可以通过下列等式来定义:

图片.png

常用的是另一种表达式:

图片.png

其中 图片.png 被称作特征函数。

累计生成函数的一些特性: