经典中心极限定理

245 阅读2分钟

本文已参与「新人创作礼」活动, 一起开启掘金创作之路。

给定一个随机量Y,

图片.png

其中X1,...,Xn是独立等分布随机变量。

注意:独立等分布随机变量分两类****

一种是随机变量是独立不相关的,而且屈服于某一分布,比如高斯分布此时平均值和方差不一定相同。****

另一种随机变量是独立不相关的,而且屈服于某一分布,比如标准高斯分布,此时平均值方差相同****

我们这里的证明仅涵盖第一种情况。****

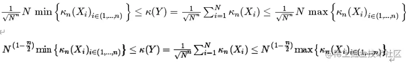
根据累积量的齐次性和可加性得:

图片.png

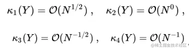
通过上面等式分别求出1-阶到4-阶的累积量:  

图片.png

我们发现从3-阶累积量开始,等式右边式子的阶开始为负数,这就意味着,在N→∞,3-阶的累积量将会消失!

图片.png

对于任意n≥3

这里也可以这样证明;\

图片.png

对于n≥3:显然

图片.png

这就是说对于这个特殊的随机量Y(Y是乘以一个系数的独立随机量组合),当组成它的独立随机变量的数量趋近于无穷时,它的累积量除了1阶和2阶,其它都自动为0. 高斯分布是具有这种特性的唯一分布。也就是说具有****Y 结构的随机变量在组成它的独立非相关随机变量的数量趋近无穷时趋近于高斯分布(密度函数)。 这句话就是所谓的中心极限定理

 

注:

  1. 上面的叙述尽管并不是一个严格的证明,然而几乎把这个定理证明所需思路讲得十分清楚,唯一没有说明的是为什么高斯分布‘是具有这种特性的唯一分布’。关于这个定理的证明我们随后就进行。

  2. 实际应用中如果有很多独立非相关随机量对测试造成影响,我们可以通过一个高斯分布随机量来描述这些独立随机变量的总影响。