密度函数和期望值

129 阅读2分钟

携手创作,共同成长!这是我参与「掘金日新计划 · 8 月更文挑战」的第2天,点击查看活动详情

图片.png是一个测度空间,µ和ν是测度空间的两个测度,并且

图片.png

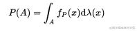
其中,fν是一个ν的关于µ的正的可积密度函数,A是一个任意的集合。应用的概率论中,他有以下形式。

图片.png

P(A)是A上概率,fp是概率P的密度函数。也叫概率密度函数。λ(x)是雷贝克测度,fp是概率P的密度函数。也叫概率密度函数。也就是说上面是是一个雷贝克积分,实际工作中,我们大部分计算要依靠黎曼积分。因此上式可把 图片.png 变成dx。

期望值

随机变量是事件的函数,也可以说是事件的实现。一个随机变量在离散情况下能够实现可数个事件,从而产生可数个随机结果。比如我们扔色子(这是个事件),可能有六个结果,也就是与此对应的随机变量可以产生六个结果。它们分别是1,2,3,4,5,6。代入上面等式得:

图片.png

上面这个例子随机变量每次的实现概率为1/6。 因为色子的每一面出现的概率是均等的,且他们的和又要等于1。

 

上面谈的概率是理论值,实际操作中往往难以实现。根据大数定理,只要我们足够多的重复,每个面出现的概率都会无限趋进于理论值。

算数平均值是一个十分随机的结果,比如扔色子,分两轮扔,每轮扔十次,比较两轮平均值,会发现差别。这一特点在期望值那里是没有的,只要随机变量不变,事件不变,那么期望值就恒定不变。人们在实践中发现,算数平均值随着实验次数的增加而趋紧于理论值。但却不一定会达到理论值。这正是期望值这个名字的由来。