Redis常见五种数据类型以及键(key)

277 阅读9分钟

一.Redis键(key)

  • keys *查看当前库所有key    (匹配:keys *1)
  • exists key判断某个key是否存在
  • type key 查看你的key是什么类型
  • del key       删除指定的key数据
  • unlink key   根据value选择非阻塞删除:仅将keys从keyspace元数据中删除,真正的删除会在后续异步操作。
  • expire key 10   10秒钟:为给定的key设置过期时间
  • ttl key 查看还有多少秒过期,-1表示永不过期,-2表示已过期
  • select命令切换数据库
  • dbsize查看当前数据库的key的数量
  • flushdb清空当前库
  • flushall通杀全部库

二. string

2.1 简介

  • String是Redis最基本的类型,你可以理解成与Memcached一模一样的类型,一个key对应一个value。
  • String类型是二进制安全的。意味着Redis的string可以包含任何数据。比如jpg图片或者序列化的对象。
  • String类型是Redis最基本的数据类型,一个Redis中字符串value最多可以是512M

2.2 常用命令

  • set   <key><value>添加键值对 image.png
    • NX:当数据库中key不存在时,可以将key-value添加数据库
    • XX:当数据库中key存在时,可以将key-value添加数据库,与NX参数互斥
    • EX:key的超时秒数
    • PX:key的超时毫秒数,与EX互斥
  • get   <key>查询对应键值
  • append  <key><value>将给定的value 追加到原值的末尾
  • strlen  <key>获得值的长度
  • setnx  <key><value>只有在 key 不存在时设置 key 的值
  • incr  <key>将 key 中储存的数字值增1,只能对数字值操作,如果为空,新增值为1
  • decr  <key>将 key 中储存的数字值减1只能对数字值操作,如果为空,新增值为-1
  • incrby / decrby <key><步长>将 key 中储存的数字值增减。自定义步长。

2.3 数据结构

String的数据结构为简单动态字符串(Simple Dynamic String,缩写SDS)。是可以修改的字符串,内部结构实现上类似于Java的ArrayList,采用预分配冗余空间的方式来减少内存的频繁分配 image.png 如图中所示,内部为当前字符串实际分配的空间capacity一般要高于实际字符串长度len。当字符串长度小于1M时,扩容都是加倍现有的空间,如果超过1M,扩容时一次只会多扩1M的空间。需要注意的是字符串最大长度为512M。

三. list

3.1 简介

单键多值,Redis 列表是简单的字符串列表,按照插入顺序排序。你可以添加一个元素到列表的头部(左边)或者尾部(右边)。 image.png 它的底层实际是个双向链表,对两端的操作性能很高,通过索引下标的操作中间的节点性能会较差。

3.2 常用命令

  • lpush/rpush  <key><value1><value2><value3> .... 从左边/右边插入一个或多个值。
  • lpop/rpop <key>从左边/右边吐出一个值。值在键在,值光键亡。
  • rpoplpush  <key1><key2><key1>列表右边吐出一个值,插到<key2>列表左边。
  • lrange <key><start><stop>按照索引下标获得元素(从左到右)
  • lrange mylist 0 -1   0左边第一个,-1右边第一个,(0-1表示获取所有)
  • lindex <key><index>按照索引下标获得元素(从左到右)
  • llen <key>获得列表长度
  • linsert <key>  before <value><newvalue><value>的后面插入<newvalue>插入值
  • lrem <key><n><value>从左边删除n个value(从左到右)
  • lset <key><index><value>将列表key下标为index的值替换成value

3.3 数据结构

List的数据结构为快速链表quickList。 首先在列表元素较少的情况下会使用一块连续的内存存储,这个结构是ziplist,也即是压缩列表。 它将所有的元素紧挨着一起存储,分配的是一块连续的内存。 当数据量比较多的时候才会改成quicklist。 因为普通的链表需要的附加指针空间太大,会比较浪费空间。比如这个列表里存的只是int类型的数据,结构上还需要两个额外的指针prev和next。 image.png Redis将链表和ziplist结合起来组成了quicklist。也就是将多个ziplist使用双向指针串起来使用。这样既满足了快速的插入删除性能,又不会出现太大的空间冗余。

四. hash

4.1 简介

Redis hash 是一个键值对集合。 Redis hash是一个string类型的field和value的映射表,hash特别适合用于存储对象。 类似Java里面的Map<String,Object> 用户ID为查找的key,存储的value用户对象包含姓名,年龄,生日等信息,如果用普通的key/value结构来存储

主要有以下几种存储方式:

  • 每次修改用户的某个属性需要,先反序列化改好后再序列化回去。开销较大。 image.png

  • 用户ID数据冗余 image.png

  • 通过 key(用户ID) + field(属性标签) 就可以操作对应属性数据了,既不需要重复存储数据,也不会带来序列化和并发修改控制的问题 image.png

4.2 常用命令

  • hset <key><field><value><key>集合中的  <field>键赋值<value>
  • hget <key1><field>从<key1>集合<field>取出 value
  • hmset <key1><field1><value1><field2><value2>... 批量设置hash的值
  • hexists <key1><field>查看哈希表 key 中,给定域 field 是否存在。
  • hkeys <key>列出该hash集合的所有field
  • hvals <key>列出该hash集合的所有value
  • hincrby <key><field><increment>为哈希表 key 中的域 field 的值加上增量 1   -1
  • hsetnx <key><field><value>将哈希表 key 中的域 field 的值设置为 value ,当且仅当域 field 不存在 .

4.3 数据结构

Hash类型对应的数据结构是两种:ziplist(压缩列表),hashtable(哈希表)。当field-value长度较短且个数较少时,使用ziplist,否则使用hashtable。

五. set

5.1 简介

Redis set对外提供的功能与list类似是一个列表的功能,特殊之处在于set是可以自动排重的,当你需要存储一个列表数据,又不希望出现重复数据时,set是一个很好的选择,并且set提供了判断某个成员是否在一个set集合内的重要接口,这个也是list所不能提供的。

  • Redis的Set是string类型的无序集合。它底层其实是一个value为null的hash表,所以添加,删除,查找的复杂度都是O(1) 。
  • 一个算法,随着数据的增加,执行时间的长短,如果是O(1),数据增加,查找数据的时间不变

5.2 常用命令

  • sadd <key><value1><value2> .....将一个或多个 member 元素加入到集合 key 中,已经存在的 member 元素将被忽略
  • smembers <key>取出该集合的所有值。
  • sismember <key><value>判断集合<key>是否为含有该<value>值,有1,没有0
  • scard <key>返回该集合的元素个数。
  • srem <key><value1><value2> .... 删除集合中的某个元素。
  • spop <key>随机从该集合中吐出一个值。
  • srandmember <key><n>随机从该集合中取出n个值。不会从集合中删除 。
  • smove <source><destination> value把集合中一个值从一个集合移动到另一个集合
  • sinter <key1><key2>返回两个集合的交集元素。
  • sunion <key1><key2>返回两个集合的并集元素。
  • sdiff <key1><key2>返回两个集合的差集元素(key1中的,不包含key2中的)

5.3 数据结构

Set数据结构是dict字典,字典是用哈希表实现的。 Java中HashSet的内部实现使用的是HashMap,只不过所有的value都指向同一个对象。Redis的set结构也是一样,它的内部也使用hash结构,所有的value都指向同一个内部值。

六. zset(sroted set)

6.1 简介

Redis有序集合zset与普通集合set非常相似,是一个没有重复元素的字符串集合。

  • 不同之处是有序集合的每个成员都关联了一个评分( score ,这个评分(score)被用来按照从最低分到最高分的方式排序集合中的成员。集合的成员是唯一的,但是评分可以是重复了 。
  • 因为元素是有序的, 所以你也可以很快的根据评分(score)或者次序(position)来获取一个范围的元素。
  • 访问有序集合的中间元素也是非常快的,因此你能够使用有序集合作为一个没有重复成员的智能列表。

6.2 常用命令

  • add  <key><score1><value1><score2><value2>…将一个或多个 member 元素及其 score 值加入到有序集 key 当中。
  • zrange <key><start><stop> [WITHSCORES]返回有序集 key 中,下标在<start><stop>之间的元素,带WITHSCORES,可以让分数一起和值返回到结果集。
  • zrangebyscore key minmax [withscores] [limit offset count] 返回有序集 key 中,所有 score 值介于 min 和 max 之间(包括等于 min 或 max )的成员。有序集成员按 score 值递增(从小到大)次序排列。
  • zrevrangebyscore key maxmin [withscores] [limit offset count]同上,改为从大到小排列。
  • zincrby <key><increment><value> 为元素的score加上增量
  • zrem  <key><value>删除该集合下,指定值的元素
  • zcount <key><min><max>统计该集合,分数区间内的元素个数
  • zrank <key><value>返回该值在集合中的排名,从0开始。

6.3 数据结构

SortedSet(zset)是Redis提供的一个非常特别的数据结构,一方面它等价于Java的数据结构Map<String, Double>,可以给每一个元素value赋予一个权重score,另一方面它又类似于TreeSet,内部的元素会按照权重score进行排序,可以得到每个元素的名次,还可以通过score的范围来获取元素的列表。

zset底层使用了两个数据结构

  • hash,hash的作用就是关联元素value和权重score,保障元素value的唯一性,可以通过元素value找到相应的score值。
  • 跳跃表,跳跃表的目的在于给元素value排序,根据score的范围获取元素列表。

6.4 跳跃表

有序集合在生活中比较常见,例如根据成绩对学生排名,根据得分对玩家排名等。对于有序集合的底层实现,可以用数组、平衡树、链表等。数组不便元素的插入、删除;平衡树或红黑树虽然效率高但结构复杂;链表查询需要遍历所有效率低。Redis采用的是跳跃表。跳跃表效率堪比红黑树,实现远比红黑树简单。

  • 实例
    • 对比有序链表和跳跃表,从链表中查询出51
      • 有序链表 image.png 要查找值为51的元素,需要从第一个元素开始依次查找、比较才能找到。共需要6次比较。
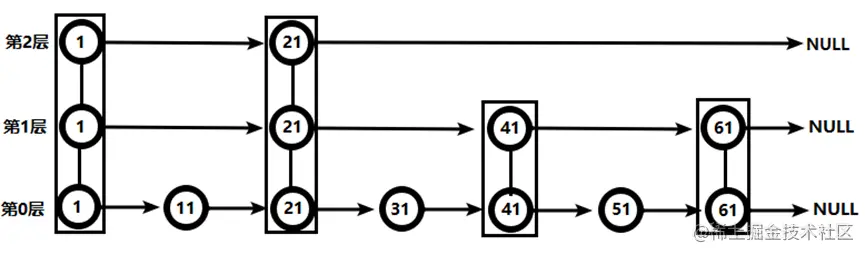
      • 跳跃表
        image.png 从第2层开始,1节点比51节点小,向后比较。 21节点比51节点小,继续向后比较,后面就是NULL了,所以从21节点向下到第1层 在第1层,41节点比51节点小,继续向后,61节点比51节点大,所以从41向下 在第0层,51节点为要查找的节点,节点被找到,共查找4次。从此可以看出跳跃表比有序链表效率要高