LeetCode-141. 环形链表

64 阅读1分钟

1. 描述

给你一个链表的头节点 head ,判断链表中是否有环。

如果链表中有某个节点,可以通过连续跟踪 next 指针再次到达,则链表中存在环。 为了表示给定链表中的环,评测系统内部使用整数 pos 来表示链表尾连接到链表中的位置(索引从 0 开始)。注意:pos 不作为参数进行传递 。仅仅是为了标识链表的实际情况。

如果链表中存在环 ,则返回 true 。 否则,返回 false 。

2. 示例

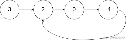
示例 1

输入:head = [3,2,0,-4], pos = 1
输出:true
解释:链表中有一个环,其尾部连接到第二个节点。

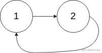
示例 2

输入:head = [1], pos = -1
输出:false
解释:链表中没有环。

3. 答案

/**
* Definition for singly-linked list.
* class ListNode {
*     int val;
*     ListNode next;
*     ListNode(int x) {
*         val = x;
*         next = null;
*     }
* }
*/
public class Solution {
    public boolean hasCycle(ListNode head) {
        if (head == null) {
            return false;
        }
        ListNode slow = head;
        ListNode fast = head.next;
        while (slow != fast) {
            if (fast == null || fast.next == null) {
                return false;
            }
            slow = slow.next;
            fast = fast.next.next;
        }
        return true;
    }
}
  • 标签:哈希表,快慢指针
  • 主要思想:两个指针前进步长不同,如果有环,两个指针会在环里相遇
  • 时间复杂度:O(n)
  • 空间复杂度:O(1)

LeetCode:141. 环形链表