最小预期频数特点

77 阅读1分钟

携手创作,共同成长!这是我参与「掘金日新计划 · 8 月更文挑战」的第1天,点击查看活动详情

为了能将检验统计量视为近似卡方分布,每个预期频数n*jk必须有一个特定的最小值。 各种教科书使用1或5作为最小值。 如果预期频数太小,则可以在给定情况下聚合多个类以实现最小尺寸。

例子:作为质量管理的一部分,银行的客户接受了访谈,其中包括他们对业务的满意度和总体满意度。 满意度基于学校评分系统。(1,...,6)

依据数据,我们可以得到下面的一个银行客户的整体满意度相对于客户对业务满意度的交叉表格,可以看出,有些预期频率过小。

图片.png

通过将分数3-6总结成一个新的总分数3,将类别减少到三个,有条理

得到正确的结果。

图片.png

下面的表格包含期望频数,这些期望频数可以如下计算:

图片.png

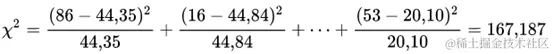
图片.png 统计量可按如下确定:

图片.png

对于α= 0.05,检验统计量的临界值是图片.png 。 由于 图片.png ,假设被显着拒绝,表明业务满意度和总体满意度相关。

忘了哪里漏了一个判断了,贴在这里,找到了放回去 如果给定一个显著性水平α,如果

图片.png ,那么H0将会被拒绝。(右侧检验)。