奇异值分解

124 阅读1分钟

携手创作,共同成长!这是我参与「掘金日新计划 · 8 月更文挑战」的第1天,点击查看活动详情

假设M是一个m*n且秩为r的复矩阵那么它的奇异值分解为:

图片.png

其中U(UHU=I(UH是U的共轭转置矩阵))是mm酉矩阵,V是n*n酉矩阵V的共轭转置矩阵,∑为实数矩阵带有下列外形:

图片.png

其中图片.png。我们称之为M矩阵的奇异值,这些奇异值更进一步说矩阵∑都是通过M矩阵唯一确定的。但是U和V无法唯一确定,它们可以变动。

U的列矢量图片.png叫做左奇异值矢量,V的列矢量 图片.png 叫做右奇异值矢量。

特性:

每一个矩阵至少拥有一个奇异值分解。对于一个实数矩阵M,我们可以选择实数型的U和V矩阵作为分解矩阵。

由于

图片.png

把上面的式子作用到V的j列得:

图片.png

这就意味着Vj是MM的特征矢量,M的奇异值的平方是MM的大于0的特征值。

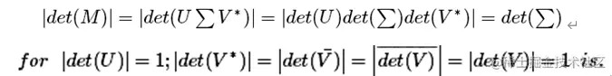
对于一个酉矩阵,其行列式模长等于1.即:

图片.png

图片.png

如果M是一个n*n的方阵且det(M)不为0,那么:

图片.png

M作用到V的列:

图片.png

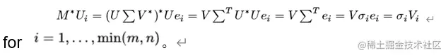
M*作用到Ui:

图片.png

作用到右奇异矢量的M或者作用到左奇异矢量的M会分别得到左奇异矢量长度变化或者右奇异矢量长度变化的结果。***