贝叶斯定理

211 阅读2分钟

携手创作,共同成长!这是我参与「掘金日新计划 · 8 月更文挑战」的第1天,点击查看活动详情

借助于(^)式子我们可以得到:

图片.png

贝叶斯定理说明了,在条件B发生的情况下条件A发生的概率可以用在条件A发生的情况下,条件B的发生概率来确定。当然这个定理是在P(A)和P(B)事先已被了解的情况下。

 

不相关事件与相关事件

如果一个事件的发生不影响另外一个事件的发生概率的话我们称它们为相互独立不相关事件。否者,称其为相关事件。其数学定义为:

两个事件是相互不相关,如果

图片.png

一个不太精确但十分有用的定义是:对于不相关事件,人们直接可以对其概率相乘。

代入条件概率的定义表达式得:

图片.png

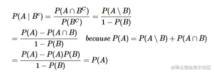
下面我们对上式进行简要证明:

图片.png  

这意味着,A事件发生的全概率等于条件B发生下条件A发生的概率(简称之条件B下条件A概率);也就是说B的发生不对A的概率产生任何影响。或者换句话说,无论B是否发生,A的概率都是同一个。

例子:

事件A:“它是红心卡”A={8张红心卡}

事件B:“它是人物卡片”B={12张人物卡片}

事件A∩B:“它是红心人物卡片”={三张红心人物卡片}

P(A)=8/32=1/4

P(B)=12/32=3/8

P(A|B)=3/12=1/4

我们发现P(A)=P(A|B)这就是说B条件发生不影响A条件发生概率。即A和B互为不相关事件。为什么呢?原因是事件A在事件B中的比例与事件A在整个样本集合的比例相同。(让学生说怎么相同)

A和B互为独立事件→P(A∩B)=P(A)*P(B)=3/32

不通过公式直接计算得:P(A∩B)=3/32,两者结果相同,证明我们的公式还是很实用的。